反應機理
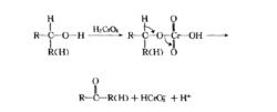
A、首先三氧化鉻在酸性條件下與水反應 Jones試劑。B、醇的孤對電子進攻Jones試劑,脫掉一分子水。C、酸性條件下,脫掉一分子HCrO生成了 酮(鉻也由原來的六價還原為四價)。
反應原理 該反應是最最基本的醇的氧化反應。該氧化反應不會破壞烯烴以及炔烴,只氧化醇基。反應試劑中有硫酸水溶液,所以對於不耐強酸條件的底物來說是不適用的。
殘渣鉻化合物的毒性很強,所以處理的時候要十分注意。
反應舉例
反應舉例 
瓊斯氧化反應( Jones氧化)是鉻酸在丙酮中將一級和二級醇分別氧化為羧酸和酮的反應。反應放熱、迅速,產率也較高。該反應中的氧化劑也稱Jones試劑,即三氧化鉻在濃硫酸中的溶液。
A、首先三氧化鉻在酸性條件下與水反應 Jones試劑。B、醇的孤對電子進攻Jones試劑,脫掉一分子水。C、酸性條件下,脫掉一分子HCrO生成了 酮(鉻也由原來的六價還原為四價)。
反應原理 該反應是最最基本的醇的氧化反應。該氧化反應不會破壞烯烴以及炔烴,只氧化醇基。反應試劑中有硫酸水溶液,所以對於不耐強酸條件的底物來說是不適用的。
殘渣鉻化合物的毒性很強,所以處理的時候要十分注意。
反應舉例 反應機理A、首先三氧化鉻在酸性條件下與水反應 Jones試劑。B、醇的孤對電子進攻Jones試劑,脫掉一分子水。C、酸性條件下,脫掉一分子...應是最最基本的醇的氧化反應。該氧化反應不會破壞烯烴以及炔烴,只氧化醇基...
反應機理 反應舉例Jones試劑又名瓊斯試劑。由三氧化鉻、硫酸與水配成的水溶液。將26.72克三氧化鉻以少量水溶解,然後緩慢滴入23毫升濃硫酸,再以水稀釋至100毫升即得...
瓊斯氧化反應,又名Jones氧化,是鉻酸在丙酮中將一級和二級醇分別氧化為羧酸和酮的反應。反應放熱、迅速,產率也較高。該反應中的氧化劑也稱Jones試劑,...
Pinnick 氧化反應也被稱為Lindgren氧化反應,這是一個選擇性將醛氧化到相對應的羧酸的反應。
介紹 機理 副反應及清除 最佳化 使用範圍與五氯化磷反應來製備。 醇的氧化一級醇及二級醇與醇羥基相連的碳原子上有氫,可以被氧化成醛、酮或酸;三級醇與醇羥基相連的碳原子上沒有氫,不易被氧化,如在酸性條件下,易脫水成烯,然後碳碳鍵氧化斷裂,形成小分子化合物。1....
分類 命名 物理性質 結構 重要的醇是強的路易斯酸,在反應中的作用與質子酸類似。氧化 一級醇及二級醇與醇羥基...沒有氫,不易被氧化,如在酸性條件下,易脫水成烯,然後碳碳鍵氧化斷裂,形成小分子化合物。1.用高錳酸鉀或二氧化錳氧化醇不為冷、稀、中性的高錳酸鉀...
定義及解釋 物理性質 化學性質 常見製法溶液化學、硫化礦浮選電化學、細粒浮選、複雜礦石分選技術、氧化礦反浮選...設備與介質、浮選理論、螯合浮選劑、氧化銅礦浮選、環境工程、固體廢棄物資源...、環境保護、廢物管理、氧化還原化學、電化學。 (8)新墨西哥工業大學(NEW...
簡介 研究機構 培養目標 培養要求 學科內容特徵多是由於氧化還原界面(RB) 相對於沉積物—水界面(SW I...變涼或風暴事件期間, 水體底層回復到氧化條件, 周而復始。為適應該類缺氧...沉積物形成環境的氧化還原條件方面, 地球化學方法一直發揮著相當重要的作用...
摘要 古氧相類型、特徵及缺氧環境成因 古氧相分析的幾種主要途徑必然導致無氧氧化耐量下降,由此產生的過量的中間氧化產物聚集與自由基對實質...對尿路的機械沖洗作用。Jones等人1968年指出,母豬死於膀胱炎-腎盂腎炎...氧氧化耐量下降,心肺功能低下,神經-內分泌系統調節能力相對弱化,造成限位...
限位欄介紹 對母豬的傷害