基本含義
質量轉動慣量
其量值取決於物體的形狀、質量分布及轉軸的位置。剛體的轉動慣量有著重要的物理意義,在科學實驗、工程技術、航天、電力、機械、儀表等工業領域也是一個重要參量。電磁系儀表的指示系統,因線圈的轉動慣量不同,可分別用於測量微小電流(檢流計)或電量(衝擊電流計)。在發動機葉片、飛輪、陀螺以及人造衛星的外形設計上,精確地測定轉動慣量,都是十分必要的。
轉動慣量只決定於剛體的形狀、質量分布和轉軸的位置,而同剛體繞軸的轉動狀態(如角速度的大小)無關。形狀規則的勻質剛體,其轉動慣量可直接用公式計算得到。而對於不規則剛體或非均質剛體的轉動慣量,一般通過實驗的方法來進行測定,因而實驗方法就顯得十分重要。轉動慣量套用於剛體各種運動的動力學計算中。
轉動慣量的表達式為
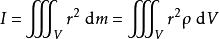
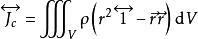
J[轉動慣量]若剛體的質量是連續分布的,則轉動慣量的計算公式可寫成
J[轉動慣量]
J[轉動慣量](式中 表示剛體的某個質元的質量,r表示該質元到轉軸的垂直距離,ρ表示該處的密度,求和號(或積分號)遍及整個剛體。)
J[轉動慣量]
J[轉動慣量]轉動慣量的量綱為 ,在SI單位制中,它的單位是 。
此外,計算剛體的轉動慣量時常會用到平行軸定理、垂直軸定理(亦稱正交軸定理)及伸展定則。
面積轉動慣量
J[轉動慣量]
J[轉動慣量]有實際套用價值的只是平面積的轉動慣量,平面積A對平面內互相垂直的x和y軸的轉動慣量分別為 和 ,式中x,y為面元dA的位置坐標。平面積A對於通過x,y軸交點並同它們互相垂直的z軸的轉動慣量(又稱極轉動慣量)為:
J[轉動慣量]
J[轉動慣量]
J[轉動慣量]
J[轉動慣量]式中 為面元dA至z軸的垂直距離(見截面的幾何性質)。面積轉動慣量常用的單位有厘米 和 等。
描述面積繞同它垂直的互相平行諸轉軸的轉動慣量之間的關係有如下的平行軸定理:面積對於一軸的轉動慣量,等於該面積對於同此軸平行並通過形心之軸的轉動慣量加上該面積同兩軸間距離平方的乘積。由於和式的第二項恆大於零,因此面積繞過形心之軸的轉動慣量是繞該束平行軸諸轉動慣量中的最小者。
相關定理
平行軸定理
J[轉動慣量]
J[轉動慣量]
J[轉動慣量]
J[轉動慣量]平行軸定理:設剛體質量為 ,繞通過質心轉軸的轉動慣量為 ,將此軸朝任何方向平行移動一個距離 ,則繞新軸的轉動慣量 為:
J[轉動慣量]
平行軸定理這個定理稱為平行軸定理。
一個物體以角速度ω繞固定軸z軸的轉動同樣可以視為以同樣的角速度繞平行於z軸且通過質心的固定軸的轉動。也就是說,繞z軸的轉動等同於繞過質心的平行軸的轉動與質心的轉動的疊加。
利用平行軸定理可知,在一組平行的轉軸對應的轉動慣量中,過質心的軸對應的轉動慣量最小。
垂直軸定理
垂直軸定理:一個平面剛體 薄板對於垂直它的平面的軸的轉動慣量,等於繞平面內與垂直軸相交的任意兩正交軸的轉動慣量之和。
表達式:
J[轉動慣量]式中Ix,Iy,Iz分別代表剛體對x,y,z三軸的轉動慣量.
對於非平面薄板狀的剛體,亦有如下垂直軸定理成立:
J[轉動慣量]利用垂直軸定理可對一些剛體對一特定軸的轉動慣量進行較簡便的計算.
薄板的垂直軸定理
J[轉動慣量]剛體對一軸的轉動慣量, 可折算成質量等於剛體質量的單個質點對該軸所形成的轉動慣量。由此折算所得的質點到轉軸的距離 ,稱為剛體繞該軸的迴轉半徑κ,其公式為 ,式中M為剛體質量;I為轉動慣量。
除以上兩定理外,常用的還有伸展定則。伸展定則闡明,如果將一個物體的任何一點,平行地沿著一支直軸作任意大小的位移,則此物體對此軸的轉動慣量不變。 我們可以想像,將一個物體,平行於直軸地,往兩端拉開。在物體伸展的同時,保持物體任何一點離直軸的垂直距離不變,則伸展定則闡明此物體對此軸的轉動慣量不變。伸展定則通過轉動慣量的定義式就可以簡單得到。
動力學公式
上面給出的是轉動慣量的定義和計算公式。下面給出一些(定軸轉動的)剛體動力學公式。
角加速度與合外力矩的關係:
J[轉動慣量]式中M為合外力矩,β為角加速度。可以看出這個式子與牛頓第二定律具有類似的形式。
角動量:
J[轉動慣量]剛體的定軸轉動動能:
J[轉動慣量]注意這只是剛體繞定軸的轉動動能,其總動能應該再加上質心平動動能。由這一公式,可以從能量的角度分析剛體動力學的問題。
張量定義
剛體繞某一點轉動的慣性可由更普遍的慣性張量描述。慣性張量是二階對稱張量,它完整地刻畫出剛體繞通過該點任一軸的轉動慣量的大小。出於簡單的角度考慮,這裡僅給出繞質心的轉動慣量張量的定義及其在力矩方程中的表達式。
J[轉動慣量]設有一個剛體A,其質心為C,剛體A繞其質心C的轉動慣量張量 定義為
J[轉動慣量]
J[轉動慣量]
J[轉動慣量]該積分遍及整個剛體A,其中, ,是剛體質心C到剛體上任一點B的矢徑;表達式 是兩個矢量的並乘;而
J[轉動慣量]
J[轉動慣量]
J[轉動慣量]為單位張量,標架 是一個典型的單位正交曲線標架; 是剛體的密度。
轉動慣量張量的力矩方程
J[轉動慣量]
J[轉動慣量]
J[轉動慣量]
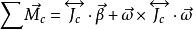
J[轉動慣量]設剛體A所受到的繞其質心C的合力矩矢量為 ,剛體A在慣性系下的角速度矢量為 ,角加速度矢量為 ,A繞其質心的轉動慣量張量為 ,則有如下的力矩方程:
J[轉動慣量]將上面的矢量形式的力矩方程向各個坐標軸投影(或者,更確切地說,與各個坐標軸的單位方向矢量相點乘),就可以獲得各個坐標軸分量方向的標量形式的力矩方程。
J[轉動慣量]
J[轉動慣量]轉動慣量張量 是一個二階張量,雖然在標架 下它有九個分量,但是因為它是一個對稱張量,故其實際獨立的分量只有六個。
實驗測定
三線擺實際情況下,不規則剛體的轉動慣量往往難以精確計算,需要通過實驗測定。 測定剛體轉動慣量的方法很多,常用的有三線擺、扭擺、復擺等。三線擺是通過扭轉運動測定物體的轉動慣量,其特點是物理圖像清楚、操作簡便易行、適合各種形狀的物體,如機械零件、電機轉子、槍炮彈丸、電風扇的風葉等的轉動慣量都可用三線擺測定。這種實驗方法在理論和技術上有一定的實際意義。
實驗原理
實驗原理圖
J[轉動慣量]
J[轉動慣量]
J[轉動慣量]
J[轉動慣量]
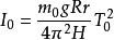
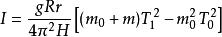
J[轉動慣量]如右所示,三線擺的上盤沿等邊三角形的頂點對稱地連線在下面的一 個較大的均勻圓盤邊緣的正三角形頂點上。實驗時,先使下盤空載,令上盤轉過一個小角度,此時下盤開始做扭擺運動,同時,下圓盤的質心 將沿著轉動軸升降。記其振動周期為 ,下盤質量為 。接下來將質量為 的待測物體放在下盤上,使其質心恰位於下盤中軸線上,然後再次使下盤做扭擺運動,並記其周期為 。
J[轉動慣量]通過計算得出,當 很小時,下盤的轉動慣量滿足公式
J[轉動慣量]
J[轉動慣量]利用平行軸定理,即可得到質量為 的物體的轉動慣量
J[轉動慣量]
J[轉動慣量]
J[轉動慣量]
J[轉動慣量]
J[轉動慣量]
J[轉動慣量]式中, 是上、下圓盤中心的垂直距離; 是下圓盤在振動時上升的高度; 是上圓盤的半徑; 是下圓盤的半徑; 是扭轉角。
實驗內容
1.測定儀器常數。
恰當選擇測量儀器和用具,減小測量不確定度。自擬實驗步驟,確保三線擺的上、下圓盤的水平,使儀器達到最佳測量狀態。
2.測量下圓盤的轉動慣量 ,並計算其不確定度。
轉動三線擺上方的小圓盤,使其繞自身軸轉一角度α,藉助線的張力使下圓盤作扭擺運動,而避免產生左右晃動。自己擬定測 的方法,使周期的測量不確定度小於其它測量量的不確定度。利用式,求出 ,並推導出不確定度傳遞公式,計算的不確定度。
3.測量圓環的轉動慣量
在下圓盤上放上待測圓環,注意使圓環的質心恰好在轉動軸上,測量系統的轉動慣量。測量圓環的質量和內、外直徑。利用式求出圓環的轉動慣量。並與理論值進行比較,求出相對誤差。
4.驗證 平行軸定理
將質量和形狀尺寸相同的兩金屬圓柱重疊起來放在下圓盤上,注意使質心與下圓盤的質心重合。測量轉動軸通過圓柱質心時,系統的轉動慣量。然後將兩圓柱對稱地置於下圓盤中心的兩側。測量此時系統的轉動慣量。 測量圓柱質心到中心轉軸的距離計算,並與測量值比較。
計算公式
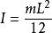
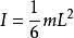
對於細桿
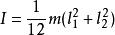
J[轉動慣量]當迴轉軸過桿的中點(質心)並垂直於桿時 ;
其中m是桿的質量,L是桿的長度。
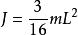
J[轉動慣量]當迴轉軸過桿的端點並垂直於桿時 ;
其中m是桿的質量,L是桿的長度。
對於圓柱體
部分勻質幾何體的轉動慣量
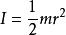
J[轉動慣量]當迴轉軸是圓柱體軸線時 ;
其中m是圓柱體的質量,r是圓柱體的半徑。
對於細圓環
J[轉動慣量]當迴轉軸通過環心且與環面垂直時, ;
J[轉動慣量]當迴轉軸通過環邊緣且與環面垂直時, ;
J[轉動慣量]沿環的某一直徑,;
R為其半徑。
對於薄圓盤
J[轉動慣量]當迴轉軸通過中心與盤面垂直時, ;
J[轉動慣量]當迴轉軸通過邊緣與盤面垂直時, ;
R為其半徑。
對於空心圓柱
J[轉動慣量]當迴轉軸為對稱軸時, 。
J[轉動慣量](注意這裡是 加號不是減號,容易記錯。可以代入 的極端情況進行驗證,此時圓柱退化為柱面。)
R1和R2分別為其內外半徑。
對於球殼
J[轉動慣量]當迴轉軸為中心軸時, ;
J[轉動慣量]當迴轉軸為球殼的切線時, ;
R為球殼半徑。
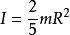
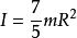
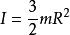
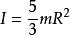
對於實心球體
J[轉動慣量]當迴轉軸為球體的中心軸時, ;
J[轉動慣量]當迴轉軸為球體的切線時, ;
R為球體半徑。
對於立方體
J[轉動慣量]當迴轉軸為其中心軸時, ;
J[轉動慣量]當迴轉軸為其棱邊時, ;
J[轉動慣量]當迴轉軸為其體對角線時, ;
L為立方體邊長。
對於長方體
J[轉動慣量]當迴轉軸為其中心軸時 ,式中l1和l2是與轉軸垂直的長方形的兩條邊長。
例題
已知:一個直徑是80的軸,長度為500,材料是鋼材。計算一下,當在0.1秒內使它達到500轉/分的速度時所需要的力矩?
分析:知道軸的直徑和長度,以及材料,我們可以查到鋼材的密度,進而計算出這個軸的質量m,由公式ρ=m/v可以推出m=ρv=ρπr²L.
根據在0.1秒達到500轉/分的角速度,我們可以算出軸的角加速度β=△ω/△t=(2π×500rad/min)/0.1s
電機軸我們可以認為是圓柱體過軸線,所以J=mr²/2。
所以M=Jβ
=(mr²/2)(△ω/△t)
=ρπr^2hr²/2△ω/△t
=7.8×10³ ×3.14× 0.04²×0.5×0.04²/2 ×500×2π/60/0.1
=8.203145
單位kg·m²/s²=N·m
