非線性偏微分方程
'''加德納方程'''(Gardner equation)是數學家C.S.Gardner 在1968年為推廣KdV方程而作的非線性偏微分方程。加德納方程常見於流體力學、等離子物理學和量子場論等領域<ref>Inna Shingareva, Carlos Lizárraga-Celaya,Solving Nonlinear Partial Differential Equations with Maple p13 Springer</ref>
Gardner 方程行波解
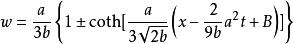
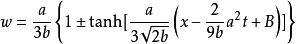
加德納方程有多種行波解:
1)當 b>0
Gardner 方程
Gardner 方程
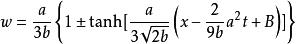
Gardner 方程2)當 c>0
Gardner 方程
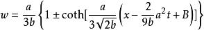
Gardner 方程3)當 c>0 2
Gardner 方程其中 B,c為任意常數
Gardner 方程
Gardner 方程4)當
Gardner 方程
Gardner 方程5)當
Gardner 方程
Gardner 方程等等
加德納方程的行波圖集