原理
內在價值是指股票本身應該具有的價值,而不是它的市場價格。股票內在價值可以用股票每年股利收入的現值之和來評價;股利是發行股票的股份公司給予股東的回報,按股東的持股比例進行利潤分配,每一股股票所分得的利潤就是每股股票的股利。這種評價方法的根據是,如果你永遠持有這個股票(比如你是這個公司的老闆,自然要始終持有公司的股票),那么你逐年從公司獲得的股利的貼現值就是這個股票的價值。根據這個思想來評價股票的方法稱為股利貼現模型。
公式
基本公式
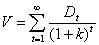
股利貼現模型是研究股票內在價值的重要模型,其基本公式為:
DDM[證券業名詞(Dividend Discount Model)] |
其中V為每股股票的內在價值,Dt是第t年每股股票股利的期望值,k是股票的期望收益率或貼現率(discount rate)。公式表明,股票的內在價值是其逐年期望股利的現值之和。
根據一些特別的股利發放方式,DDM模型還有以下幾種簡化了的公式:
零增長模型
即股利增長率為0,未來各期股利按固定數額發放。計算公式為:
V=D0/k
其中V為公司價值,D0為當期股利,K為投資者要求的投資回報率,或資本成本。
不變增長模型
即股利按照固定的增長率g增長。計算公式為:
V=D1/(k-g)
注意此處的D1=D0(1+g)為下一期的股利,而非當期股利。
二段、三段、多段增長模型
二段增長模型假設在時間l內紅利按照g1增長率增長,l外按照g2增長。
三段增長模型也是類似,不過多假設一個時間點l2,增加一個增長率g3
意義
股票價格是市場供求關係的結果,不一定反映該股票的真正價值,而股票的價值應該在股份公司持續經營中體現。因此,公司股票的價值是由公司逐年發放的股利所決定的。而股利多少與公司的經營業績有關。說到底,股票的內在價值是由公司的業績決定的。通過研究一家公司的內在價值而指導投資決策,這就是股利貼現模型的現實意義了。
![DDM[證券業名詞(Dividend Discount Model)] DDM[證券業名詞(Dividend Discount Model)]](/img/e/c8e/nBnauM3X3ADO2ETN4ATNxMzM1UTM1QDN5MjM5ADMwAjMwUzLwUzLxYzLt92YucmbvRWdo5Cd0FmL0E2LvoDc0RHa.jpg)
DDM[證券業名詞(Dividend Discount Model)] 