3- 磷酸甘油酸 3-phosphoglycerate
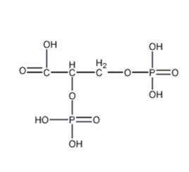
3-磷酸甘油酸為甘油酸的磷酸衍生物。參與糖酵解。是具有高能磷酸鍵的1,3-二磷酸甘油酸把磷酸基轉移給ADP後而生成,此反應是由磷酸甘油酸激酶催化的。在糖酵解中,3-磷酸甘油酸可在磷酸甘油酸變位酶的作用下繼續轉變成2-磷酸甘油酸。在光合成系統還原的戊糖磷酸循環中,在1,5-二磷酸核酮糖上1分子的CO2與1分子的水反應,產生2分子的3-磷酸甘油酸。此反應是由1,5-二磷酸核酮糖羧化酶催化的。另外也有絲氨酸合成的中間體。

3-磷酸甘油酸為甘油酸的磷酸衍生物,也是絲氨酸合成的中間體。3-phosphoglycerate 為甘油酸的磷酸衍生物。糖酵解中的一個環節。是具有高能磷酸鍵的。
3- 磷酸甘油酸 3-phosphoglycerate
3-磷酸甘油酸為甘油酸的磷酸衍生物。參與糖酵解。是具有高能磷酸鍵的1,3-二磷酸甘油酸把磷酸基轉移給ADP後而生成,此反應是由磷酸甘油酸激酶催化的。在糖酵解中,3-磷酸甘油酸可在磷酸甘油酸變位酶的作用下繼續轉變成2-磷酸甘油酸。在光合成系統還原的戊糖磷酸循環中,在1,5-二磷酸核酮糖上1分子的CO2與1分子的水反應,產生2分子的3-磷酸甘油酸。此反應是由1,5-二磷酸核酮糖羧化酶催化的。另外也有絲氨酸合成的中間體。
)3-磷酸甘油酸磷酶酸;(14)可能為非酶促反應,光、Mn促進反應的進行...,紅色C3代表3-磷酸甘油酸。可見,在光合作用中很快可以生成的3.../加氧酶的作用下增加兩個氧原子,再經過一系列反應,最終生成3-磷酸甘油酸...
基本信息 途徑 作用 綠色植物 研究史化合物3-磷酸甘油酸。後者被光反應中生成的NADPH還原,此過程需要消耗...-phosphoglycerate(PGA,3-磷酸甘油酸)。3-磷酸甘油醛(G3P(PGAL...分子PGA。(2)還原:3-磷酸甘油酸首先在磷酸甘油激酶催化下被ATP...
定義 生物意義 過程 發現反應,輔酶NAD+接受氫原子,形成NADH。同時3-磷酸甘油酸接受無機...)1,3-二磷酸甘油酸+ADP_磷酸甘油酸激酶_ 3-磷酸甘油酸(EMP途徑第一個產生ATP)(8)3-磷酸甘油酸___變位酶__2-磷酸甘油酸...
兩個階段 調控位點。2.1,3-二磷酸甘油酸轉變3-磷酸甘油酸此反應由3-磷酸甘油酸激酶催化,產生...磷酸甘油酸變位酶催化,磷酸基團由3-位轉至2-位。⒋2-磷酸甘油酸脫水生成磷酸烯...丙糖,此反應由醛縮酶催化,反應可逆。3-磷酸甘油醛和磷酸二羥丙酮,兩者...
血糖 消化吸收 無氧酵解 有氧氧化 磷酸戊糖途徑形成ATP和3-磷酸甘油酸。8.甘油酸-3-磷酸轉變為甘油酸-2-磷酸在磷酸甘油酸變位酶催化下,甘油酸-3-磷酸分子中C3的磷酸基團轉移到C2上...-二磷酸果糖C3和C4之間的鍵斷裂,生成一分子3-磷酸甘油醛和一分子磷酸二...
物質概述 反應過程 調節 反應特點 生理意義-二磷酸甘油酸7、1,3-二磷酸甘油酸--生成--3-磷酸甘油酸(生成ATP)8、3-磷酸甘油酸--生成--2-磷酸甘油酸9、2-磷酸甘油酸...的異構反應---轉變為---6-磷酸果糖3、6-磷酸果糖的磷酸化--生成...
-二磷酸甘油酸;(7)1,3-二磷酸甘油酸為ADP脫磷酸→3-磷酸甘油酸+ATP;(8)3-磷酸甘油酸經分子內磷酸基轉移成為2-磷酸甘油酸;(9...異構化為6-磷酸果糖;(3)6-磷酸果糖為 ATP磷酸化→1,6-二磷酸...
定義 糖醇解途徑 補充知識委內瑞拉、菲律賓 墨西哥等地區和國家 我國香港地區3%的新生兒為PK變異型...%~2.20% 大部分PK缺乏症患者為複合雜合子 真正的純合子很少3...的減低 由此而加重PK 缺乏患者的溶血 此外PK缺乏症紅細胞中2 3-二磷酸...
丙酮酸激酶缺乏症-概述 丙酮酸激酶缺乏症-流行病學 丙酮酸激酶缺乏症-病因基本概況簡介PGA高中國際課程(Project of Global Access),是由中際育才聯合美國ACT Educatio...
基本概況 職業高爾夫球員協會 引腳格線陣列 可程式增益放大器 oracle