2PSK調製原理
相移鍵控是利用載波的相位變化來傳遞數字信息,而振幅和頻率保持不變。在2PSK中,通常
2PSK信號的時域表達式為:
2PSK
2PSK其中, 表示第n個符號的絕對相位:
2PSK
2PSK
2PSK
2PSK因此上式可以寫為:
典型波形如圖1所示。由於表示信號的兩種碼元的1波形相同,極性相反,故2PSK信號一般可以表述為一個雙極性全占空矩形脈衝序列與一個正弦載波相乘,即
2PSK其中
2PSK
2PSK
2PSK
2PSK這裡, 是脈寬為 的單個矩形脈衝,而 的統計特性為:
2PSK
2PSK
2PSK
2PSK
2PSK
2PSK即傳送為二進制符號“0”時( 取+1,), 取0相位;傳送為二進制符號“1”時( 取-1,), 取 相位。這種以載波的不同相位直接去表示相應二進制數位訊號的調製方式,稱為二進制絕對相移方式。
圖1 2PSK信號的時間波形2PSK信號的調製原理框圖如圖2所示,分為模擬調製方法(a)和數字調製方法(b) .
圖2 2PSK信號的調製原理框圖2PSK解調原理
2PSK信號的解調通常採用相干解調法,解調器原理如圖3所示。
圖3 2PSK信號解調原理框圖
2PSK
2PSK2PSK信號相干解調各點的波形如圖4所示,圖中,假設相干載波的基準相位與2PSK信號的調製載波的基準相位一致(通常默認為0相位)。但是,由於在2PSK的載波恢復過程中存在著 的 相位模糊(phase ambigurity),即恢復的本地載波與所需的相干載波可能同相,也有可能相反,這種相位關係的不確定性將會造成解調出的數字基帶信號與傳送的數字基帶信號正好相反,即“1”變為“0”,“0”變為“1”,判決器輸出數位訊號全部出錯。 這種現象稱為2PSK方式的 “倒 ”現象或“ 反相工作”。這也是2PSK方式在實際中很少採用的主要原因。另外,在隨機信號碼元序列中,信號波形有可能出現長時間連續正弦波形,致使在接收端無法辨識信號碼元的起止時刻。為了解決上述問題,可以採用差分相移鍵控(DPSK)體制。
圖4 2PSK信號相干解調時各個時間波形2PSK功率譜密度
2PSK的功率譜密度為:
2PSK
2PSK其中, 是雙極性的隨機矩形脈衝序列的功率譜。雙極性的全占空矩形隨機序列的功率譜密度 為:
2PSK將其帶入式(1)時,得:
2PSK
2PSK
2PSK
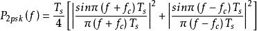
2PSK若等概(P=1/2),並考慮到矩形脈衝的頻譜,,則2PSK信號的功率譜密度為
2PSK由這個公式得出的曲線如圖4所示。
從以上分析可見,2PSK的頻寬是信號頻寬的兩倍。
圖4 2PSK信號的功率譜密度