簡單概述
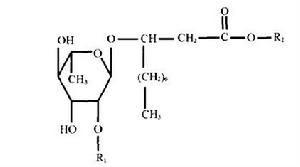
鼠李糖脂化學分子式銅綠假單胞菌 (Pseudomonase)可利用不同碳源生成鼠李糖脂。為鼠李糖脂的化學結構通式,其親水基團一般由1~2分子的鼠李 糖構成,憎水基團則由 1~2分子具有不同碳鏈長度的飽和或不飽和脂肪酸構成。在生物合成過程中,這些基團之間可能相互連結而生成多種化學結構相近的同系物。研究表明,發酵產物中一般含有4種主要的鼠李糖脂,它們分別是 RLl(Rh%C10Cl0),RL2 (RhaCl0 Cl0),RL3 (Rh%Cl0)和 RL4(RhaC。0)其中,Rh%C。化學名為2-0. .L.吡喃鼠李糖苷 一L一吡喃鼠李糖苷 .羥基癸醯 .羥基癸酸,又稱雙鼠李糖脂;RhaC。。C 。為 Ot.L一吡喃鼠李 糖苷 一羥基癸醯 一羥基癸酸, 又稱單鼠李糖脂。
隨著 LC—MS等現代分析手段的套用 ,發酵產物 中大量不同的鼠李糖族同系物被發現。Deziel等在P_aeruginosa 57RP的發酵液中檢測到 28種不同的鼠李糖脂化合物,它們分別連著不同的脂 肪酸鏈,如 C 、C。。和 C。 ,有的甚至含有不飽和脂肪酸鏈如 C 等,鼠李糖環也各異。國內的梁生康等在銅綠假單胞菌 0-2-2以正十八烷為碳源的發酵產物中共檢出21種鼠李糖脂的同系物,都由1—2分子的鼠李糖和 1—2個含p一羥基的碳鏈長度為 8一l2的飽和或不飽和脂肪酸構成。
化學套用
鼠李糖脂日化工業:鼠李糖脂作為表面活性和乳化性能強的生物表面活性劑,還可作為潤濕劑、乳化劑等套用於食品、製藥、日化,又由於其較強的抗菌性能和抗病毒活性,在臨床醫學中也有套用。
採油工業:一次和二次採油後,原油的平均採收率只有30%-35%左右。其中最主要的原因之一是由於粘滯力和毛細血管作用力的存在使得殘餘原油表面張力較大,原油以不連續的油塊和油珠被圈捕在油藏岩石孔中。若能在其中注入生物表面活性劑,則可降低殘餘原油表面的張力,使殘油從岩石孔中被驅趕出來,進而提高原油的採收率。
環境治理:具有生物可降解、環境友好性,其用途非常廣泛。處理含油廢水和修復被芳香烴或原油污染的土壤。許多化學合成表面活性劑由於難降解、有毒及在生態系統中的積累等性質而破壞生態環境,相比之下,生物表面活性劑則由於易生物降解、對生態環境無毒等特性而更適合於環境工程中污染治理。
生物農藥:因為鼠李糖脂可溶解黃瓜和辣椒的根腐病真菌,瓜果腐霉(Pythium aphanider matum)和辣椒疫霉(Phytophthora capsici)的遊動孢子,已被美國開發用作生物農藥,由於其生物與環境友好特性,於2004年年底獲得美國環境保護局(USEPA)頒布的免除對該農藥的系列毒性測試。在5~30PPM的濃度下,可摻入並破壞植物病害菌遊動孢子的質膜,從而殺滅腐霉、疫霉和單軸霉(Plasmopara)遊動孢子,能有效作用於根、球莖、塊根以及桿狀等農作物和經濟作物。
油罐洗滌:國內基本上僅採用人工與機械分離的方法回收部分油泥中的原油,能耗極大,原油損失近一半;雖然已經嘗試過採用化學表面活性劑,但化學表面活性劑對原油的乳化效果較差。而國際上如義大利油罐清洗公司(IDRABEL Italia S.r.l.)採用從美國購買的鼠李糖脂作為生物表面活性劑,將原油回收率提高至達95%以上,性效比非常顯著。德國Oreco公司也採用生物表面活性劑進行油罐清洗並回收絕大部分原油,取得顯著經濟效益。
製備方法
鼠李糖脂的製備方法。
它包括以下步驟:菌種篩選,對取自油田污水或油泥的樣品浸泡預處理後接入增殖培養基,劃線法接種於血液瓊脂平板上培養,挑取單菌落,並接種於藍色瓊脂平板上培養,挑取出現藍色暈圈的菌落接入斜面作菌種保藏;將初篩菌株接入發酵培養基中發酵後測定其排油活性、乳化性能及發酵液表面張力,然後選取目的菌株;發酵工藝最佳化,將經篩選的菌株進行發酵,在發酵過程中進行發酵培養基最佳化、發酵條件最佳化、菌種最佳化得到鼠李糖脂發酵液;對鼠李糖脂發酵液進行提取得到鼠李糖脂粗產品。
相關新聞
美國俄勒岡州立大學宣布,中美科研人員日前發現了一種能“吸食”石油的細菌,這一發現或許有助於清除墨西哥灣泄漏的大量原油。俄勒岡州立大學說,這一發現是該校與中國西安建築技術大學以及南京農業大學研究人員共同合作的結果。
這種能“吸食”石油的細菌名叫“NY3”,是廣泛存在於自然界的綠膿桿菌的一種。研究人員是從被石油污染的土壤中分離出這種細菌的。
“NY3”能產生對人畜和環境無毒無害的鼠李糖脂,而鼠李糖脂能更有效地降解石油中有害環境的污染物——碳氫化合物和多環芳烴。此外,利用鼠李糖脂清除油污要比目前使用的合成化學清潔劑更經濟實惠。

