描述
莫比烏斯帶本身具有很多奇妙的性質。如果從中間剪開一個莫比烏斯帶,不會得到兩個窄的帶子,而是會形成一個把紙帶的端頭扭轉了兩次再結合的環(並不是梅比斯環),再把剛剛做出那個把紙帶的端頭扭轉了兩次再結合的環從中間剪開,則變成兩個環。如果你把帶子的寬度分為三分,並沿著分割線剪開的話,會得到兩個環,一個是窄一些的莫比烏斯帶,另一個則是一個旋轉了兩次再結合的環。另外一個有趣的特性是將紙帶旋轉多次再貼上末端而產生的。比如旋轉三個半圈的帶子再剪開後會形成一個三葉結。剪開帶子之後再進行旋轉,然後重新貼上則會變成數個Paradromic。
莫比烏斯帶常被認為是無窮大符號“∞”的創意來源,因為如果某個人站在一個巨大的莫比烏斯帶的表面上沿著他能看到的“路”一直走下去,他就永遠不會停下來。但是這是一個不真實的傳聞,因為“∞”的發明比莫比烏斯帶還更要早。
默比烏斯帶結構
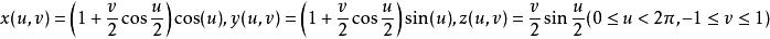
一個利用參數方程式創造出立體莫比烏斯帶的方法:
默比烏斯帶這個方程組可以創造一個邊長為1半徑為1的莫比烏斯帶,所處位置為 x-y面,中心為(0,0,0)。參數 u在 v從一個邊移動到另一邊的時候環繞整個帶子。
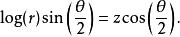
如果用圓柱坐標系( r,θ, z)表示的話,一個無邊界的莫比烏斯帶可以表示為:
默比烏斯帶從拓撲學上來講,莫比烏斯帶可以定義為矩陣[0,1]×[0,1],邊由在0≤ x≤1的時候( x,0)~( 1-x,1)決定,如右圖所示。
莫比烏斯帶是一個二維的緊緻流形(即一個有邊界的面),可以嵌入到三維或更高維的流形中。它是一個不可定向的的標準範例,可以看作 RP# RP。同時也是數學上描繪纖維叢的例子之一。特別地,它是一個有一纖維單位區間, I= [0,1]的圓 S上的非平凡叢。僅從莫比烏斯帶的邊緣看去給出 S上一個非平凡的兩個點(或 Z)的從。
有關的物體
和莫比烏斯帶非常近似的一個幾何學物體叫做克萊因瓶。一個克萊因瓶可以用貼上兩個莫比烏斯帶的方法製作出來。但是如果物體不進行自我交叉,這個步驟在三維空間內是不可能完成的。
另外一個相近的結構是實射影平面。如果在實射影平面上有一個洞的話,從左側看就會形成一個莫比烏斯帶。或者把莫比烏斯帶的邊界進行有限定義,就會形成一個真投影屏面。更形象地說法是重建莫比烏斯帶的邊緣形成一個普通的環。有一種普遍的誤解認為如果不進行平面的自我交叉就無法在三維空間內形成一個有普通環邊緣的莫比烏斯帶。事實上是可能的,方法是這樣的:定義C為xy面上的單位圓,現在連線C上面的對跖點,比如θ和θ + π。當θ在0到π/2之間運動的時候,在xy面上方做這條線的反餘切,其他情況則在面下做反餘切。
藝術和科技
•莫比烏斯帶為很多藝術家提供了靈感,比如美術家莫里茨·科內利斯·埃舍爾就是一個利用這個結構在他木刻畫作品裡面的人,最著名的就是莫比烏斯二代,圖畫中表現一些螞蟻在莫比烏斯帶上面前行。
•它也經常出現在科幻小說裡面,比如亞瑟·克拉克的《黑暗之牆》。科幻小說常常想像我們的宇宙就是一個莫比烏斯帶。由A.J.Deutsch創作的短篇小說《一個叫莫比烏斯的捷運站》為波士頓捷運站創造了一個新的行駛線路,整個線路按照莫比烏斯帶方式扭曲,走入這個線路的火車都消失不見。另外一部小說《星際迷航:下一代》中也用到了莫比烏斯帶空間的概念。
•有一首小詩也描寫了莫比烏斯帶:
•數學家斷言: 莫比烏斯帶只有一邊。如果你不相信,就請剪開一個驗證,帶子分離時候卻還是相連。
•莫比烏斯帶也被用於工業製造。一種從莫比烏斯帶得到靈感的傳送帶能使用更長的時間,因為可以更好的利用整個帶子,或者用於製造磁帶,可以承載雙倍的信息量。
•有一座鋼製的莫比烏斯帶雕塑位於美國華盛頓的史密斯森林歷史和技術博物館。
•荷蘭建築師Ben Van Berkel以莫比烏斯帶為創作模型設計了著名的莫比烏斯住宅。
•在日本漫畫《哆啦A夢》中,哆啦A夢有個道具的外觀就是莫比烏斯帶;在故事中,只要將這個環套在門把上,則外面的人進來之後,看到的依然是外面。
•在電玩遊戲“音速小子-滑板流星故事”中最後一關魔王戰就是在莫比烏斯帶形狀的跑道上進行,如果不打敗魔王,就會一直在莫比烏斯帶上無限循環的跑下去。
•1988年在日本上映的動畫電影機動戰士高達 逆襲的夏亞以莫比烏斯帶作為對命運的隱喻:人類就好比行走在莫比烏斯帶上的螞蟻一般,永遠逃不出這個怪圈,不斷重複著相同的錯誤,類同的悲劇也在不斷地上演。
•電影的主題歌BEYOND THE TIME(メビウスの宇宙を越えて)亦呼應了這個主題(日文“メビウス”就是Möbius的意思)。
•jojo奇妙旅程第6部空條徐倫對c-moon一幕亦有於戰鬥中使用此結構。
•韓國導演金基德2013年的電影《莫比烏斯》命名就取材於莫比烏斯環,象徵人性周而復始的重複悲劇和錯誤。
•網路上流傳一部動畫影片,用莫比烏斯帶原理,來解釋巴哈所著的逆行卡農作品。
•《Bilibili拜年祭2017》中作品《再一次》以莫比烏斯帶原理構築了困住木琳與海閱的古堡。

