流體的黏性
流體對切力的抗阻很小,例如水從高處往低處流,這時由於高處的水在重力作用下,沿著水的表面方向有分力,這個分力對靜止的水來說是切應力。在水表面受切應力的部位,靜止狀態就遭到破壞,水立即開始滑動,產生無限制的剪下變形,這就是流動。不僅水具有對剪下力抗阻很小的特性,其他流體同樣具有這種特性,即流動性。但是,各種流體的流動性有大有小,比較粘的流體如豆油與水相比,儘管外在條件相同,前者流動較緩,也就是能承受較大的切應力。流體的這種抵抗剪下變形的能力稱為黏性。
假設流場的速度分布是不均勻的,這時各流體層之間產生相對運動。由於分子的不規則運動,當快層中的分子移到慢層中去時,它把多餘的動量交給了慢層中的分子,使慢層加快,產生切向的向前拖力。反之,慢層中的分子移到快層中去時,動量交換的結果使快層減慢速度,產生一個切向阻力。因此,在流體中動量交換就形成了內摩擦力或黏性阻力,由於流體層之間的相互運動,在兩層之間產生了內摩擦力以阻止相對運動。
黏性是流體所具有的重要屬性。凡實際流體,無論氣體還是液體都具有黏性。在流體力學問題的研究中,由於黏性影響所帶來的複雜性使無數研究者付出了艱辛的勞動。因而,對流體的這一屬性必須給予足夠的重視。
牛頓內摩擦定律
1686 年,牛頓通過大量的實驗,總結出“牛頓內摩擦定律”,以圖1說明牛頓實驗的內容及其結果。
圖1為兩個水平放置的平行平板,間距為h,兩平板間充滿某種液體。使上板以V的速度向右運動,下板保持不動。由於液體與板之間存在著附著力,故緊鄰於上板的流體必以速度V隨上板一同向右運動。而緊鄰於下板的流體則依然附著於下板靜止不動。在一定的速度V的範圍內,實際測得流體的速度為線性分布,如圖1所示。兩板間的液體做平行於平板的流動,可以看成是許許多多無限薄層的液體在平行運動,而內摩擦力正是在我們構想的這種有相對運動的薄層之間產生的。
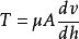
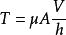
實驗測出板所受黏性阻力的大小與各參數之間存在著如下關係:
黏性應力式中,T——內摩擦力(N);
A——平板與流體接觸的計算面積(m );
V——平板的運動速度(m/s);
h——兩平板間的垂直距離(m);
μ——與流體性質有關的比例係數,稱為動力粘度(粘滯係數)(Pa·s)。
黏性應力若取如圖1所示相距為dh的流體薄層,其速度差為dv,則上式可推廣為不受直線分布規律所限制的普遍形式:
黏性應力式中,為流體速度梯度。
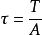
黏性應力若以單位面積上的黏性力,即黏度應力(摩擦切應力)來表示,則上式為:
黏性應力上式所表示的關係為牛頓內摩擦定律,也稱牛頓黏性定律。
其物理意義為:流體內摩擦力的大小與流體的速度梯度和接觸面積大小成正比,並且與流體的性質,即黏性有關。
所以流體內的摩擦力也稱為黏性力。摩擦切應力稱為黏度應力。
圖1
黏性應力
黏性應力
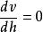
黏性應力由式可以看出,當時,,亦即當流體薄層之間或流體微團之間沒有相對運動時,或者說處於靜止狀態的流體中不存在內摩擦力。因此流體的黏性力是指:在外力作用下流體微團間具有相對運動時,產生的摩擦力,阻滯流體相對運動。
動力黏度
在流體力學的研究中,當速度梯度發生變化時,我們把動力粘度μ為不變數的流體稱為牛頓流體;把μ為變數的流體稱為非牛頓流體。
實驗表明,流體的動力黏性係數,將隨流體的溫度改變而變化,但隨流體的壓力變化則不大。當溫度升高時,氣體的動力粘度都將增大。這是因為,氣體的黏性力主要來自相鄰流動層分子的橫向動量交換的結果:溫度升高,這種動量的交換也加劇。因而內摩擦力或μ值將增大。但是,液體則不同。隨著溫度的升高,液體的μ值將減小。原因在於液體的黏性力主要來自相鄰流動層間分子的內聚力;隨著溫度的升高,液體分子熱運動加劇,液體分子間的距離變大,因而分子間的內聚力將隨之減小,故μ值減小。

