流體的黏性
黏性流體流過物面時的速度分布假設有一股直勻流(速度均一,方向和大小不變),順著流動方向放置一塊無限薄的平板,流體的實際速度分布就變為右圖所示。流體在沒有流到平板以前速度原是均一的,一流到平板上,直接貼著平板的那層流體速度降為零(即滿足物面無滑移條件);沿著法線向外,流體速度逐漸由零變大(即存在速度梯度),直到離平板相當遠的地方流速才和原來沒有顯著差別。
生活中,比如河裡的流水,靠岸處的水流就比河中心的水流慢些。
流層間阻礙流體相對錯動(變形)趨勢的能力稱為流體的黏性。
黏性剪下應力
黏性力示意圖相對錯動流層間的一對摩擦力即為黏性剪下力。
黏性流
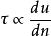
黏性流鄰層流體速度有差別(即 )時,二者之間必有摩擦力在作用。單位面積上的摩擦力稱摩擦應力,記為 。這個力對於較快流層而言是一個阻礙流動的阻力,對於較慢流層而言是一個推動流動的拉力。
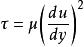
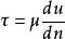
黏性流牛頓提出,流體內部的摩擦應力 和速度梯度的關係為
黏性流
黏性流比例常數記為 ,則
黏性流
黏性流上式稱為牛頓粘性定律。 稱為黏度,單位是kg/(m·s)。
黏性流體運動的基本性質
粘性流體運動的基本性質包括:運動的有旋性、漩渦的擴散性和能量的耗散性 。
黏性的本質
流體分子在不停地進行著不規則的熱運動,不論流體是靜止狀態還是流動狀態。這種不規則的熱運動會使不同流層中的氣體質量進行交換,而流體各層速度不同的話,鄰層的兩個流體分子的動量也不同。鄰層之間既有質量交換,必有動量交換。快層流體分子由於熱運動跑到慢層流體分子中,便從快層流動帶走一份動量到慢層流動里,從而加快了慢層流體流動;反之,慢層流體分子由於熱運動跑到快層流體分子中,便從慢層流動帶走一份動量到快層流動里,從而減慢了快層流體流動。於是就產生了上文中的速度梯度。
黏性流所以,黏度 只決定於分子的熱運動速度,而流體的溫度正是分子熱運動的動能的一個直接標誌,因此同一流體的黏度只決定於流體的溫度,而與壓強無關。
液體和氣體的動力黏性係數隨溫度變化的趨勢相反,因為它們產生黏性的物理原因不同,前者主要來自於液體分子間的內聚力,黏度與溫度成正比;後者主要來自於氣體分子的熱運動,黏度與溫度成反比。
流體的分類
理想流體
黏性流
黏性流理想流體是黏性可忽略的流體,又叫無黏流體。即 , 。
當流體粘度很小而相對滑動速度又不大時,黏性應力是很小的,即可近似看成理想流體。理想流體一般也不存在熱傳導和擴散效應。實際上,理想流體在自然界中是不存在的,它只是真實流體的一種近似模型。但是,在分析和研究許多流體流動時,採用理想流體模型能使流動問題簡化,又不會失去流動的主要特性並能相當準確地反映客觀實際流動,所以這種模型具有重要的使用價值。
黏性流體
黏性流
黏性流是黏性不可忽略的流體。即 , 。
自然界中真實流體都是黏性流體。
黏性流
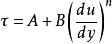
黏性流按流體切應力與速度梯度的一般關係式 分為以下幾類:
黏性流1. bingham流體, ,如泥漿、血漿、牙膏等;
黏性流2. 偽塑性流體, ,如尼龍、橡膠、油漆等;
黏性流3. 牛頓流體, ,如水、空氣、汽油、酒精等;
黏性流4. 脹塑性流體, ,如生麵團、濃澱粉糊等。
黏性流的套用
粘性流體在運動狀態下,流體質點之間可以存在相對運動,流體具有抵抗剪下變形的能力,因此,作用於流體內部任意面上既有正向力,也有切向力。在飛機的設計中,由於粘性的存在,機翼後緣處來自上下表面的流體產生了強烈的剪下,飛機獲得升力來源從而上升。

