概述
簡介
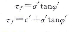
實驗研究指出,土的抗剪強度不僅與土的性質有關,還與試驗時的排水條件、剪下速率、應力狀態和應力歷史等許多因素有關,其中最重要的是試驗時的排水條件,根據K.太沙基(Terzaghi)的有效應力概念,上體內的剪應力只能由土的骨架承擔,因此,土的抗剪強度τf應表示為剪下破壞面上的法向有效應力σ'的函式,庫侖公式應修改為
抗剪強度有效應力法其中
抗剪強度有效應力法式中:σ‘——剪下破壞面上的法向有效應力,kPa;
c'——有效黏聚力,kPa;
ψ'——有效內摩擦角,度;
u——孔隙水壓力,kPa。
因此,土的抗剪強度有兩種表達方法,一種是以總應力σ表示剪下破壞面上的法向應力,抗剪強度表達式即為庫侖公式,稱為抗剪強度總應力法,相應的c.ψ稱為總應力強度指標(參數);另一種則以有效應力σ'表示剪下破壞面上的法向應力,其表達式為式(5-11),稱為抗剪強度有效應力法,c'和ψ'稱為有效應力強度指標(參數)。雖然試驗研究表明,土的抗剪強度取決於土粒間的有效應力,然而,由庫侖公式建立的概念在套用上比較方便,在工程上仍一直沿用至今。
有效應力法的優缺點
優點:理論上比較嚴格,能較好地反映抗剪強度的實質,能檢驗土體處於不同固結情況下的穩定性。
缺點:孔隙水壓力的正確測定比較困難。
有效抗剪強度指標的確定
設對一組飽和黏性土試樣作固結不排水試驗,取至少3個試樣分別施加不同的側壓力σ3,然後施加豎向壓力,使試件受剪破壞,記錄剪破時豎向壓力△σ1和剪破時的孔隙水壓力μf。則試件上的有效大主應力為:
抗剪強度有效應力法試件上的有效小主應力為:
抗剪強度有效應力法以(σ'1-σ'3)為直徑畫一個極限應力圓,3個試樣可得到三個不同的極限圓。作這三個極限應力圓的公共切線,即為土的抗剪強度包線,通常可近似取一直線,從直線上得出土的有效內摩擦角ψ'。上的有效黏聚力c'。
土壓力計算中的有效應力法
太沙基飽和土有效應力原理公式:σ =σ′+μ
式中:σ為總應力;σ′為有效應力;μ為孔隙水壓力。
總應力為由固體顆粒、孔隙中的水和氣體共同承擔的應力;有效應力為土顆粒間的接觸應力,控制著土體體積變化和抗剪強度。
有效應力原理闡明了碎散顆粒材料與連續固體材料在應力——應變關係上的重大區別。有效應力原理表示研究平面上的總應力、有效應力與孔隙水壓力三者之間的關係:當總應力保持不變時,孔隙水壓力與有效應力可以相互轉化,即:孔隙水壓力的減小等於有效應力的等量增加。
採用有效應力法計算主動土壓力的基本公式如下(被動土壓力同理):
抗剪強度有效應力法其中:pα——第i層土中計算點的主動土壓力
σz——土中豎向總應力
μα——孔隙水壓力
kα,i——第i層土的主動土壓力係數
ci——第i層土的有效粘聚力
其中土壓力係數的計算方法由具體的土壓力理論確定。
採用有效應力法計算土壓力時,需要採用有效應力強度指標——有效內摩擦φ’和有效粘聚力c’。有效應力強度指標可以通過固結不排水試驗或固結排水試驗得到。對於滲透性好的土,例如砂土,可以很容易地通過室內試驗得到其有效應力強度指標,但是,對於滲透壓性差的土。例如粘土,則很難通過室內試驗得到其有效應力強度指標, 通常情況下,設計時往往會採用一些經驗參數來作為粘性土的有效應力強度指標。

