定義
介紹
土體中總應力為有效應力與孔隙水壓力之和。其中,有效應力為粒間應力,只通過土顆粒接觸點傳遞的應力,會使土粒彼此擠緊,從而引起土體變形。孔隙水傳遞的力稱為孔隙水壓力。
應力
圖1在外力作用下,物體內部將產生內力。內力是物體本身不同部分之間的相互作用力。為了研究物體內部任意一點P處的內力,假想通過點P作一截面m—n將該物體截分為A和B兩部分,並將其中一部分例如B移去(如圖1),則移去部分B對留下部分A的作用可用分布在截面m—n上的內力來代替。在截面m—n上取包含點P在內的微截面積△A,並假定作用在此微面積△A上的內力為△P,由材料力學中已知,內力△P與微面積△A之比,當△A無限減小而趨近於點P時的極限,即
總應力極限值σ稱為該物體在截面m—n上P點處的應力,它是個矢量。應力矢量σ在其所作用截面的外法線方向和切線方向可分解為兩個分量。一個分量是法向應力分量σ,稱為正應力;另一個分量是切向應力分量τ,稱為剪應力。
有效應力
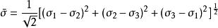
總應力有效應力又稱應力強度,它被定義為
總應力σ,σ,σ分別為x、y、z軸方向的應力。
總應力
總應力簡單拉伸時,因為σ=σ,σ=σ=0,故=σ,因而有效應力這時就是拉應力σ。
孔隙水壓力
又稱中性壓力,即土、岩石孔隙中水承擔的壓力。土體受荷後在孔隙水中產生的壓力。根據有效應力原理,施加於飽和土體的總應力等於孔隙水壓力(非飽和土時為孔隙水壓力加孔隙氣壓力)和顆粒之間有效應力之和,而有效應力對土抗剪強度和評價土的固結程度影響很大,所以,測定土中孔隙水壓力的數值大小及其消散程度,對於正確評價地基土的強度和穩定性及其固結程度非常重要。室內孔隙水壓力及其消散過程的測定可在三軸剪力儀中進行。
總應力分析
總應力
總應力土坡穩定分析有兩種方法:總應力分析法和有效應力分析法。總應力分析法建立在不排水抗剪強度的基礎上,也稱為s一分析法。有效應力分析法建立在排水抗剪強度的基礎上,也稱做,—分析法。不排水抗剪強度通常用於施工過程中或施工結束時短期穩定性計算,而排水抗剪強度用於長期穩定性計算。既然不排水強度是由載入前的初始情況決定,就不需要確定破壞時的有效應力。
如果對一種飽和土載入且不排水,φ可以假設為零,因此採用φ=0分析,它是s一分析法的一種特殊情況。否則必須進行c,φ—分析。在s一分析中,對於採用不排水抗剪強度的任何破壞面,孔隙水壓力都應當取零,這並不意味著孔隙水壓力真的等於零,而是為了和不排水強度與破壞時的有效應力無關這個假定一致。
總應力分析法和有效應力分析法的主要區別在於:前者不需要有關孔隙水壓力的知識,而後者需要。原則上,短期穩定也可以按有效應力分析,長期穩定也可以按總應力分析,但是,這需要附加一些試驗,因而不提倡,表1列出了總應力和有效應力分析法的選擇方案。
| 工況 | 優先選用方案 | 說明 |
| 飽和土施工竣工期(施工期比固結期短) | φ=0及c=s的s分析 | 可以用施工期中真正的孔隙水壓力,採用 總應力 總應力 |
| 長期穩定性 | 總應力 總應力 | |
| 部分飽和土施工的竣工期(施工期比固結期短) | 兩種方法均可,由不排水試驗得到c,φ,或由 總應力 總應力 | 可以用施工期中真正的孔隙水壓力,採用 總應力 總應力 |
| 中間階段的穩定性 | 由估計的孔隙水壓力進行 總應力 總應力 | 必須在現場檢驗真正的孔隙水壓力 |
總應力
總應力對於飽和細粒土建築的土坡或飽和地基上的填土土坡,用總應力法分析的短期穩定性是比較危險的情況,原因是:載入引起孔隙水壓力增大,而後,隨著時間的推移,孔隙水壓力減小或者說有效應力增大。對於飽和土的開挖邊坡來說,用有效應力法分析長期穩定性是比較危險的情況,原因是:卸載引起孔隙水壓力減小,而後,隨著時間的推移,孔隙水比力增大或者說有效應力減小。在某些情況下,破壞面可能部分通過排水良好的土體,那裡強度以有效應力表示較為合適; 而另一部分通過粘土,那裡則用不排水強度。這種情況下,一部分破壞面採用參數和以及適當的孔隙水壓力,其餘部分採用φ=0或c,φ分析,並取孔隙水壓力等於零。
總應力方程
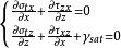
圖2 土骨架與孔隙水混合體的整體內力平衡分析為了簡單起見,以平面問題為例,假定土體為均質,對土體整體取脫離體進行內力分析,如圖2所示。
圖2所示是在代表體積的尺度上,取出一個微小的正平行六面體,它在x方向和z方向的尺寸分別是dx和dz。為了計算簡便,令它在y方向的尺寸取為一個單位長度。
一般地,應力分量是位置坐標x和z的函式,因此,作用於左右兩對面或上下兩對面的應力分量不完全相同,有微小的差量。設作用於左面的平均正應力是σ(下標t表示總應力),左面的平均剪應力是τ,下面的平均正應力和平均剪應力分別是σ和τ。
得到平衡微分方程在平面問題中的化簡形式為
總應力