概述
岩石強度分類岩石在外力作用下達到破壞時的極限應力,岩石力學性質的主要屬性之一。它是通過實驗室內或現場的試驗求得的。在岩石力學中,岩石一詞是岩塊和岩體的總稱。岩塊是指由地質構造因素割裂而成的不連續塊體,是岩體的組成單元。實驗室試驗用的岩樣就是岩塊。岩體是指包括地質結構的地質體的一部分。雖然岩塊和岩體具有相同的地質歷史環境,經歷過同樣的地質構造作用,但它們的性質是有區別的。反映在強度方面,岩塊的強度主要取決於構成岩石的礦物和顆粒之間的聯結力和微裂隙的影響;而對岩體強度起控制作用的則是岩體中的結構面和構造特徵。
單軸抗壓強度
圖1 兩個同類砂岩樣品單向壓縮實 | 岩石名稱 | 單軸抗壓強度(kgf/cm) | 岩石名稱 | 單軸抗壓強度(kgf/cm) | |||
| 乾的 | 濕的 | 乾的 | 濕的 | |||
| 細粒花崗岩 | 2650 | 2410 | 泥質細砂岩 | 797 | 556 | |
| 花崗斑岩 | 1530 | 1316 | 粘土質砂岩 | 1573 | 620 | |
| 安山岩 | 2563 | 2181 | 細粒矽質砂岩 | 1186 | 763 | |
| 安山凝灰集塊岩 | 1220 | 736 | 中粒石英砂岩 | 620 | 437 | |
| 凝灰岩 | 1785 | 1535 | 砂質粘土岩 | 370 | 245 | |
| 玄武岩 | 2661 | 1885 | 粘土岩 | 240 | 119 | |
| 閃長岩 | 1 300 | 1 000 | 石灰岩 | 2067 | 1892 | |
| 黑雲母花崗閃長岩 | 1800 | 1200 | 白雲質灰岩 | 1266 | 634 | |
| 輝綠岩 | 2725 | 2458 | 泥質灰岩 | 751 | 602 | |
| 流紋斑岩 | 2815 | 2800 | 結晶灰岩 | 1351 | 1086 | |
| 紅砂礫岩 | 181 | 92 | 泥灰岩 | 450 | 210 | |
| 石英砂岩 | 1 749 | 1658 | 石英岩 | 1451 | 1391 | |
| 泥質砂岩 | 654 | 523 | 角閃片岩 | 2 189 | 1 631 | |
| 細砂岩 | 1566 | 1152 | 砂質板岩 | 1966 | 1496 | |
註:1千克力=9.80665牛頓。
抗拉強度
岩石樣品在拉力作用下達到破壞時的極限應力值。岩石的抗拉強度遠比抗壓強度小,因此在岩石鑽進、爆破等方面,拉伸破壞成為一種值得研究的重要現象。
岩石抗拉強度試驗方法可分直接法和間接法兩類。
直接法
與用於金屬試驗的方法類似。這種試驗要求夾持器不損傷試件表面,施載入荷應嚴格地與試件軸相平行,以免產生彎曲所導致的應力集中。間接法
此法種類較多,常用的有圓盤、圓柱體徑向壓裂法。圓盤徑向壓裂法是著名的“巴西試驗”,即用一個實心圓盤,使之受徑向壓縮而破壞,求抗拉強度。圓柱體徑向壓裂法通常是用兩個接觸點對圓柱體加壓求抗拉強度。在工程實踐中,由於岩體具有裂隙,一般不考慮抗拉強度。
抗剪強度
室內試驗
圖3 三軸試驗載入法
圖4 高壓三軸試驗應力-應變曲線
圖5 花崗岩平均壓力與相對體積變化關係
圖6 岩石強度與溫度關係曲線
圖2 直接剪下試驗室內抗剪強度試驗常用的方法有直接剪力試驗、扭轉試驗和三軸試驗三種。
①直接剪力試驗:這種試驗特別適用於岩石結構面和軟弱夾層抗剪強度的測定,裝置如圖2a。取一組試件分別在不同的正應力下進行試驗,試驗結果如圖2b。圖中C稱為岩石的凝聚力,ф稱為岩石的內摩擦角。
②扭轉試驗:將圓柱狀試件或兩端為方形的柱狀試件夾緊在扭轉試驗機上,施加扭力,最大剪應力發生在試件最外圈。
③三軸試驗:天然岩體是處於三向應力狀態下。在三向應力狀態下的岩石強度,對於岩基承載力的計算、地下建築物和壩工設計、褶皺和斷層機理研究以及深孔鑽探研究都很重要。三軸試驗方法包括軸對稱應力狀態的普通三軸試驗(σ1>σ2=σ3),真三軸試驗(σ1厵σ2厵σ3),空心圓筒的壓縮或扭轉三軸試驗。試驗受力狀態如圖3所示。
圖中粗箭頭表示通過物體各個端面的壓力或扭力;細箭頭表示液壓的壓力。三軸試驗需要一套專用載入裝置、三軸壓力室、穩壓裝置和變形測量設備。為了測定岩石應力達到峰值以後的應力與應變關係,必須採用伺服控制剛性壓力機。現代岩石力學已逐步向地學領域發展。地殼岩石常處於高溫高壓狀態,因而發展出高溫高壓三軸試驗。目前國際上進行的高溫高壓三軸試驗,側壓可達數萬巴(1巴=105帕),溫度高達1000℃。實驗證明,隨著圍壓的增大,岩石的強度增加並由脆性向韌性轉化。圖4為高壓三軸試驗結果(曲線上的數字為圍壓)。
圖5為花崗岩在載入期間相對體積變化和平均壓力的關係(曲線上的數字為圍壓)。在地殼下,溫度隨深度而增加,而溫度對岩石強度也有很大影響。圖6是地殼中最常見的花崗岩和玄武岩的強度和溫度的關係,所有曲線都是在相同的圍壓條件下獲得的。可以看出,隨著溫度的增高,岩石強度下降,並由脆性向韌性轉化。地殼的應變速率極低,約為10-14~1020秒-1。應變速率對岩石強度也有較大影響。
圖7為岩鹽在300℃、2000巴圍壓下強度與應變速率的關係曲線。從圖上可以看出,在高的應變速率下有明顯的硬化階段,且強度較高。隨著應變速率的降低,岩石逐漸向韌性轉化,強度也降低。
a.普通三軸試驗b.三個實心活塞加壓
c.空心圓筒的壓縮或扭轉d.雙軸實心活塞和側限液壓組成的三軸試驗
現場試驗
圖7 強度與應變速率關係曲線現場岩體抗剪強度試驗一般在平洞中進行,通常分為直剪試驗和三軸試驗。直剪試驗較多用於軟弱岩石、結構面或軟弱夾層。這兩種試驗的方法與室內的試驗方法大體相同。①現場岩體直剪試驗:試件受剪面積一般不小於2500平方厘米。國際上最大的試驗面積達100平方米。這種試驗較多用於軟弱岩石結構面或軟弱岩層。②現場岩體三軸試驗:試件多為稜柱體,試驗方法與室內三軸試驗大體相同。
岩石強度準則
庫侖-納維準則岩石材料可分為脆性和韌性兩類。岩石材料在常溫常壓下一般屬於脆性材料。目前常用的強度準則為庫侖-納維準則、莫爾準則和格里菲思準則。
庫侖-納維準則(1773)
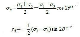
這個準則假定對破壞面起作用的法向應力會增加材料的抗剪強度,其增加量與法向應力的大小成正比。就二向情況而論(圖8),若σ和τ是作用在破壞面上的法向應力和剪應力,則根據這個準則,作用在這個面上的剪應力達到下列數值時將發生破壞:
|τθ|=τt+μσθ,
圖9 庫侖-納維準則示意圖式中τt為材料的抗剪強度;σθ為破壞面上的法向應力。μσθ類似斜面上的摩擦力,故μ可稱為內摩擦係數。在三軸或雙軸試驗中,這個準則用法向應力和剪應力來表示則為:
用岩石材料的抗壓強度σc和抗拉強度σ1來表示則為:
此即圖9中AB線的關係式。材料不發生破壞的σ1、σ3值必定在AB和AC兩線之間的範圍內。在AB和AB兩線範圍以外的σ1、σ3值,將使材料發生破壞。岩石的μ值的變化範圍為1.0~2.5。據此,岩石的抗剪強度約為抗壓強度的0.1~0.2倍。
莫爾準則(1990)
圖10 莫爾準則示意圖由三軸試驗測定抗剪強度要作一組試件的試驗,從而求得在不同圍壓(σ3)下的強度值(σ1),並可繪出一組莫爾圓,其公切線稱為莫爾包線,包線嶖與τ軸的截矩(τt)為岩石的凝聚力,包線的坡角(φ)為岩石的內摩擦角,如圖10所示。包線的物理意義是:由莫爾圓所代表的任何應力狀態在包線以下時,岩石材料不會破壞;反之,如果莫爾圓有些部分超出包線,則必將超過材料的臨界應力;當莫爾圓與包線相切時,則材料會在與大主應力成θ夾角的面上發生破壞。還應指出,岩石的長期強度比上述瞬時強度低。
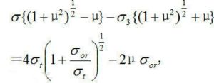
格里菲思準則(1921)
這個準則是以岩石材料中存在細微裂紋為前提的。當材料受到應力時,裂紋尖端產生拉應力集中;當尖端或其附近的拉應力達到某一臨界值時,裂紋開始擴張,最後導致破壞。這個理論首先為對玻璃的試驗所證實。格里菲思準則可以用下述拋物線形的莫爾包線來表示:
岩石強度雖然某些沉積岩具有非線性的莫爾包線,但就更多的脆性岩石來說,在壓縮時普遍具有線性的莫爾包線。此外,格里菲思裂紋周圍的應力集中是根據彈性理論計算出來的,因此破壞機理與時間無關,沒考慮強度隨應力速率或應變速率而變化的因素。F.A.麥克林托克、J.B.沃爾什和W.F.布雷斯遂加以修改,稱為修正的格里菲思理論,使適用於壓應力很高的雙軸條件,其壓應力足以使裂紋閉合,因此在裂紋表面上有摩擦力的作用。經過修改的格里菲思準則包括兩個臨界值:以抗拉強度表示的裂紋尖端處的臨界應力;裂紋表面之間的摩擦係數。
岩石強度式中μ為裂紋表面的摩擦係數;σcr為垂直於裂紋並使裂紋閉合所需的應力。庫侖-納維和莫爾準則規定了破壞時作用的應力之間的相互關係,並可通過各類岩石試驗來檢驗這種關係。但這兩個準則並沒有假定任何導致破壞的內在機理,因而不能使最終破壞同它的物理數據聯繫起來。格里菲思準則指出了內在機理並提出數學模型。但對岩石來說,因為這些數據難以測量,所以須採取經驗方法,即根據抗壓和抗拉強度以及裂紋面上的摩擦係數來評價這個準則。

