壓應力計算
簡單軸向壓應力計算
設桿件橫截面的面積為A,軸力為FN。由於橫截面上軸力是橫截面上正應力仃的合成結果,故存在如下關係:
壓應力若能確定σ在橫截面上的分布規律,則根據上式即可確定σ正應力的計算公式。通過試驗觀察可知:軸向拉(壓)桿件,其表面上縱向纖維的變形是均勻的。至於桿件的內部縱向纖維的變形可通過平面假定獲得。所謂平面假定是:假定桿件橫截面在變形前是平面,變形後仍為平面。根據平面假定和桿件表面上縱向纖維的變形是均勻的以及軸向拉(壓)胡克定律可認為橫截面上各點的正應力σ也是均勻的。因此,上式中的σ與變元dA無關,由上式即得:
壓應力軸向拉(壓)橫截面上正應力等於該截面的軸力除以橫截面的面積。軸向拉伸時,規定正應力為正;而軸向壓縮時,規定正應力為負。
軸向拉(壓)桿件橫截面上的正應力公式推導過程雖然較為簡單,但卻綜合了幾何方面、物理方面和靜力學方面等三方面的考慮。綜合考慮這三個方面。在推導其它基本變形的應力計算公式時同樣是適用的。
平面混凝土局部壓應力的計算
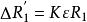
在橋樑支座中常出現混凝土承受局部壓應力的情況,例如在鋼支座底面與混凝土墊石之間的接觸面上。試驗表明,當混凝土柱體僅在部分面積么。下圖承受壓力時,由於混凝土套箍的強化作用,常使局部承壓應力的容許值有所提高。《鐵路規範》規定:局部承受壓應力的容許值
壓應力式中[σa]——中心受壓時混凝土的容許應力
β——應力提高係數
其中 A——截面的全部面積;
A局部承壓面積
[σa−1]值不宜超過σ的2~2.5倍。上式僅適用於h≥b的情形。
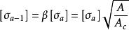
圓柱形接觸面處的局部壓應力的計算
在橋樑支撐計算中.常遇到兩個不同曲率面的接觸應力問題。例如在輥軸支座、弧形支座以及鉸支承中便有這種情況。根據勻質材料的彈性力學,在這種曲面接觸處的最大壓應力可按格爾次公式計算如下圖
壓應力
壓應力式中V——支座上壓力(公斤),
l——接觸線長度(厘米),
E——混凝土受壓彈性模量 (公斤/平方厘米)
R,r——上下圓柱體接觸面的較大及較小半徑
根據理論分析,接觸面上的平均壓應力為:
壓應力簡單壓應力的測量
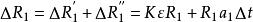
圖1工作應變片和溫度補償應變片分別貼在試件和溫度補償試件上,並按半橋工作方式接入電橋,接橋線路和貼片方向如圖1所示。
試件受力引起電阻應變片R的電阻變化量為:
壓應力溫度變化引起電阻應變片R的電阻變化量為
壓應力所以電阻應變片R總的電阻變化量為:
壓應力電阻應變片R不受力,所以只有由於溫度變化而產生的電阻變化量為:
壓應力因為R及R是接在電橋相鄰兩臂,所以總的電阻變化量為:
壓應力又因兩個試件的R=R,K、a和Δt皆相同,所以:
壓應力這樣,就消除了溫度影響,而至測量了軸向應變ε。
壓應力計
利用應變計測量混凝土應力時,必須進行複雜的計算,因為應變計測值中包含許多非應力因素所引起的應變,計算時首先要加以扣除。又因為混凝土的應力應變關係是非線性的,混凝土的徐變特性將使應力不斷鬆弛,必須考慮這些因素的影響,才能從應變計測值算得混凝土內的實際應力,為了直接測量混凝土應力,卡爾遜研製了壓應力計,只需要進行簡單的計算,就可以從壓應力計的測值求得混凝土的應力大小.在計算中可以忽略非應力因素引起的混凝土應變以及混凝土徐變特性造成的影響,這是因為壓應力計的形狀和結構與應變計不同而取得的優越性。壓應力計結構參見下圖。
壓應力壓應力計形狀扁平,受壓板直徑185mm,儀器厚度12mm,直徑與厚度之比為15:1。根據理論分析和試驗研究,這樣一種比值的壓應力計感受非應力應變的影響很小。
壓應力計的工作原理是這樣的:傳壓液體將受壓板上感受的混凝土壓應力傳遞到感應板上,感應板產生變形推動感測部件使鋼絲電阻值差動變化,用電阻比電橋或數字式接收儀表測量電阻比的變化量和電阻值就可計算出壓應力計的觀測成果:混凝土壓應力和混凝土溫度。
壓應力計內部的感測部件和小應變計內部結構相同,但其外殼剛度很大,外殼的外部又套上一個橡膠套,這些措施都是為了保護感測部件,以免儀器外部的混凝土變形影響感測部件,使感測部件中的鋼絲電阻值只隨感應板的變形而變化,以保證混凝土壓應力準確地變換為電阻比變化量,而不受干擾。
壓應力計的受壓板外緣也套以橡皮圈,用以隔離周圍混凝土側向壓力的作用。
受壓板的面板和背板之間的空腔中灌注的傳壓液體是一種特殊的溶液,其體積膨脹係數較小,不腐蝕金屬,在儀器低溫工作範圍內仍然保持液體狀態。感測部件浸沒在中性油中,以防止鋼絲鏽蝕,同時吸收測量時鋼絲的熱量,保證測值的穩定。
壓應力計的結構決定了只能反映壓應力的大小,因此只能用以觀測壓應力,而不能用以觀測拉應力.這是因為當埋設儀器的混凝土產生拉應力時,混凝土有可能與受壓板面脫開,即使混凝土還能粘結在受壓板上並拉動面板和背板,背板和面板受拉變形使傳壓液體空腔內形成真空,感測部件只能有少量變形量反映受拉而不能正確反映壓應力計所承受的拉應力的大小。感測部件的變形是因為其油腔還殘存少量空氣,在傳壓液體腔內形成真空時,感測部件油腔內的空氣推動感應板向外變形使電阻比變化量為正值,反映為儀器受拉,由於油腔內殘存空氣的壓力大約為一個大氣壓力,因此由於這種氣壓推動而反映的壓應力測值不會超過98.067kPa。

