黏性和彈性
黏彈性
黏彈性
黏彈性
黏彈性
黏彈性彈性的過程為:外力 形變 應力 儲存能量;外力撤除 能量釋放 形變恢復;
特點為:1)儲能:能量轉變為應力能;
2)可逆:記憶形狀;
3)瞬時:不依賴時間。
黏彈性
黏彈性
黏彈性
黏彈性
黏彈性粘性的過程為:外力 形變 應力 應力鬆弛 能量耗散;外力撤除 永久形變;
特點為:1)耗能:能量轉變為熱能;
2)不可逆:無形狀記憶;
3)依時:應變隨時間發展。
聚合物粘彈性
粘彈性是高聚物的一個重要特徵,粘彈性賦予高聚物優越的性能。高聚物材料表現出彈性和粘性的結合。在實際形變過程中,粘性與彈性總是共存的。聚合物受力時,應力同時依賴於形變和形變速率,即具備固、液二性,其力學行為介於理想彈性體和理想粘性體之間。
粘彈性使塑膠同時具有類似固體的特性,如彈性,強度,因次穩定性,和類似液體的特性如隨時間,溫度,負荷大小和速率而變化的流動特性。
聚合物的粘彈性形變和加工條件的關係
黏彈性
黏彈性
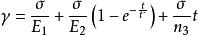
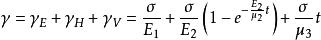
黏彈性按照經典的粘彈性理論,加工過程線性聚合物的總形變γ可以看成普通形變 、推遲高彈性變 和粘性形變 三部分所組成,可以用下面的公式表示:
黏彈性在通常的加工條件下,聚合物形變主要由於高彈形變和粘性形變(或塑性形變)所組成。從形變性質來看包括可逆形變和不可逆形變兩種成分,只是由於加工條件不同而存在著兩種部分的相對差異。隨著溫度的升高,式中μ都將下降,當加工溫度高於T以致聚合物處於粘流態時,聚合物的形變發展則以粘性形變為主。此時,聚合物粘度低流動性大,易於成型;同時由於粘性形變的不可逆性,提高了製品的長期使用過程中的因次穩定性(形狀和幾何尺寸的穩定性的總稱),所以很多加工技術都是在聚合物的粘流狀態下實現的,例如注射、擠出、薄模吹塑和熔融紡絲等等。但是粘流態聚合物的形變並不是純粘性的,也表現出一定程度的彈性,例如流動中大分子因伸展而儲藏了彈性能,當引起流動的外力消除後,伸展的大分子恢復蜷曲的過程就產生了高彈形變,它會使熔體流出管口時出現液流膨脹。這種彈性能如果儲存於製品中,還會引起製品的形狀或尺寸的改變,降低製品的因次穩定性,有時還使製品出現內應力。因此即使在粘流態條件下加工聚合物,也應注意這種彈性效應的影響。
加工溫度降低到T以下時,聚合物轉變為高彈態,隨著溫度的降低,聚合物形變組成中的彈性成分增大,粘性成分減小,由於有效形變值減小,通常較少地在這一範圍成型製品。
滯後效應
聚合物在加工過程中的形變都是在外力和溫度的共同作用下,大分子形變和進行重排的結果、由於聚合物大分子的長鏈結構和大分子運動的逐步性質,聚合物分子在外力作用時與應力相適應的任何形變都不可能在瞬間完成,通常將聚合物於一定溫度下,從外力作用開始,大分子的形變經過一系列的中間狀態過度到外力相適應的平衡態的過程看成是一個鬆弛過程,過程所需的時間稱為鬆弛時間。所以式又可以表示為:
黏彈性由於鬆弛過程的存在,材料的形變必然落後於應力的變化,聚合物對於外力相應的這種滯後現象稱為”滯後效應“或”彈性滯後“。
滯後效應在聚合物加工成型過程中是普遍存在的,例如塑膠注塑成型製品的想變性和收縮。當注射製件脫模時大分子的形變並非已經停止,在貯存和使用過程中,製件中大分子的進一步形變能使製件變形。製品收縮的原因主要是熔體成型時驟冷使高分子堆積得輕鬆散(即存在”自由體積“)之故。在貯存或使用過程中,大分子的重排運動的發展,使堆積逐漸緊密,以緻密度增加體積收縮。能結晶的聚合物則因逐漸形成結晶結構而使成型製品體積收縮。製品體積收縮的程度是隨著冷卻速度增加而變得嚴重的,所以加工過程急冷(驟冷)對製件的質量通常是不利的。無論是變形或者是體積收縮,都將降低製品的因此穩定性;嚴重的變形或收縮不均還會在制品中形成內應力,甚至引起製品開裂;同時並降低製品的綜合性能。

