效應簡介
鮑默效應表示在一段時期內,各行業生產率增長的變動和行業權重變化之間相互影響的結果。之所以稱為“鮑默效應”,是因為WilliamJ.Baumol(1967)在其不平衡增長理論中闡述了產出和生產率之間的關係。按照他的觀點,產出增長較慢的,生產率增長也較慢。
轉換效應
我們可以看到,不同的產業性質以及勞動生產率的水平存在著很大的差異。而我們知道,總體的勞動生產率(平均勞動生產率)水平正是各個產業勞動生產率的加權匯總,所以勞動力這種生產要素在不同產業之間流動所帶來的產業結構變化會引起總體勞動生產率的增長抑或是下降。具體來說,由於各部門生產率的水平和增長率各有差別,因此當投入要素從低生產率或生產率增長慢的部門向高生產率或生產率增長快的部門轉移時,就會促進由各部門組成的經濟體的總生產率增長。對於總體的生產率(平均勞動生產率)可以寫成:
鮑默效應式中,y為產出水平;L為勞動力的數量;Yi,Li,λi,yi分別為第i個行業的產出水平、勞動力數量、勞動力所占總體勞動力的份額以及第i個行業的勞動生產率。
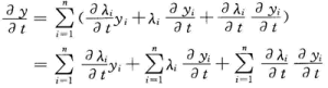
這樣總體的勞動生產率的變動可以寫為:
鮑默效應等式右端第一項為行業轉換效應,也被稱為“丹尼森效應”,第二項為“純生產率效應”;第三項為互動項,也被稱為“鮑默效應”。對於這種結構轉化所帶來的生產率變化,已有學者運用一些國家不同發展階段的統計資料進行了研究。
