高等數學簡介
初等數學研究的是常量,高等數學研究的是變數。常見的“高等數學”課本通常有這樣一些內容:微積分,高等代數,機率論與數理統計。理工科(數學專業在外)的,深一些;文科的,淺一些。理工科的不同專業,文科的不同專業,深淺程度又各不相同。研究變數的是高等數學。可高等數學並不只研究變數。
高等數學是高等學校工科本科有關專業學生的一門必修的重要基礎課。通過這門課程的學習,使學生獲得向量代數與空間解析幾何、微積分的基本知識,必要的基礎理論和常用的運算方法,並注意培養學生的運算能力和初步的抽象思維、邏輯推理及空間想像能力,從而使學生獲得解決實際問題能力的初步訓練,為學習後繼課程奠定必要的數學基礎。
高等數學(也稱為微積分)是理、工科院校一門重要的基礎學科。作為一門科學,高等數學有其固有的特點,這就是高度的抽象性、嚴密的邏輯性和廣泛的套用性。抽象性是數學最基本、最顯著的特點--有了高度抽象和統一,我們才能深入地揭示其本質規律,才能使之得到更廣泛的套用。嚴密的邏輯性是指在數學理論的歸納和整理中,無論是概念和表述,還是判斷和推理,都要運用邏輯的規則,遵循思維的規律。所以說,數學也是一種思想方法,學習數學的過程就是思維訓練的過程。人類社會的進步,與數學這門科學的廣泛套用是分不開的。尤其是到了現代,電子計算機的出現和普及使得數學的套用領域更加拓寬,現代數學正成為科技發展的強大動力,同時也廣泛和深入地滲透到了社會科學領域。因此,學好高等數學對我們來說相當重要。然而,很多學生對怎樣才能學好這門課程感到困惑。要想學好高等數學,至少要做到以下四點:
首先,理解概念。數學中有很多概念。概念反映的是事物的本質,弄清楚了它是如何定義的、有什麼性質,才能真正地理解一個概念。
其次,掌握定理。定理是一個正確的命題,分為條件和結論兩部分。對於定理除了要掌握它的條件和結論以外,還要搞清它的適用範圍,做到有的放矢。
第三,在弄懂例題的基礎上作適量的習題。要特別提醒學習者的是,課本上的例題都是很典型的,有助於理解概念和掌握定理,要注意不同例題的特點和解法法在理解例題的基礎上作適量的習題。作題時要善於總結----不僅總結方法,也要總結錯誤。這樣,作完之後才會有所收穫,才能舉一反三。
第四,理清脈絡。要對所學的知識有個整體的把握,及時總結知識體系,這樣不僅可以加深對知識的理解,還會對進一步的學習有所幫助。
高等數學中包括微積分和立體解析幾何,級數和常微分方程。其中尤以微積分的內容最為系統且在其他課程中有廣泛的套用.微積分的理論是由牛頓和萊布尼茨完成的.(當然在他們之前就已有微積分的套用,但不夠系統)無窮小和極限的概念微積分的基本概念但理解有很大難度。
分類
一、函式極限連續
二、一元函式微分學
三、一元函式積分學
四、向量代數與空間解析幾何
五、多元函式微分學
六、多元函式積分學
七、無窮級數
八、常微分方程
主要包括
一、函式與極限分為
常量與變數
函式
函式的簡單性態
反函式
初等函式
數列的極限
函式的極限
無窮大量與無窮小量
無窮小量的比較
函式連續性
連續函式的性質及初等函式函式連續性
二、導數與微分
導數的概念
函式的和、差求導法則
函式的積、商求導法則
複合函式求導法則
反函式求導法則
高階導數
隱函式及其求導法則
函式的微分
三、導數的套用
微分中值定理
未定式問題
函式單調性的判定法
函式的極值及其求法
函式的最大、最小值及其套用
曲線的凹向與拐點
四、不定積分
不定積分的概念及性質
求不定積分的方法
幾種特殊函式的積分舉例
五、定積分及其套用
定積分的概念
微積分的積分公式
定積分的換元法與分部積分法
廣義積分
六、空間解析幾何
空間直角坐標系
方向餘弦與方向數
平面與空間直線
曲面與空間曲線
七、多元函式的微分學
多元函式概念
二元函式極限及其連續性
偏導數
全微分
多元複合函式的求導法
多元函式的極值
八、多元函式積分學
二重積分的概念及性質
二重積分的計算法
三重積分的概念及其計算法
九、常微分方程
微分方程的基本概念
可分離變數的微分方程及齊次方程
線性微分方程
可降階的高階方程
線性微分方程解的結構
二階常係數齊次線性方程的解法
二階常係數非齊次線性方程的解法
十、無窮級數
導數的概念
有關導數例:設一質點沿x軸運動時,其位置x是時間t的函式,y=f(x),求質點在t0的瞬時速度?
導數我們知道時間從t0有增量△t時,質點的位置有增量
導數若質點是勻速運動的則這就是在t0的瞬時速度,若質點是非勻速直線運動,則這還不是質點在t0時的瞬時速度。
我們認為當時間段△t無限地接近於0時,此平均速度會無限地接近於質點t0時的瞬時速度,
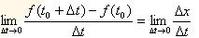
即:質點在t0時的瞬時速度=
導數為此就產生了導數的定義,如下:
導數的定義
設函式y=f(x)在點x0的某一鄰域內有定義,當自變數x在x0處有增量△x(x+△x也在該鄰域內)時,相應地
函式有增量
導數若△y與△x之比當△x→0時極限存在,則稱這個極限值為y=f(x)在x0處的導數。
記為:
導數還可記為:
導數函式f(x)在點x0處存在導數簡稱函式f(x)在點x0處可導,否則不可導。
若函式f(x)在區間(a,b)內每一點都可導,就稱函式f(x)在區間(a,b)內可導。這時函式y=f(x)對於區
間(a,b)內的每一個確定的x值,都對應著一個確定的導數,這就構成一個新的函式,
我們就稱這個函式為原來函式y=f(x)的導函式。
註:導數也就是差商的極限
左、右導數
前面我們有了左、右極限的概念,導數是差商的極限,因此我們可以給出左、右導數的概念。
若極限
導數存在,我們就稱它為函式y=f(x)在x=x0處的左導數。
若極限
導數存在,我們就稱它為函式y=f(x)在x=x0處的右導數。
註:函式y=f(x)在x0處的左右導數存在且相等是函式y=f(x)在x0處的可導的充分必要條件

