定義
瞬時速度的測量讀音:shùnshísùdù
英文:instantaneousvelocity;instantaneouspressure
求法
勻變速直線運動:物體從t到t+△t的時間間隔內的平均速度為△s/△t,如果△t無限接近於0,就可以認為△s/△t表示的是物體在t時刻的速度。
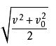
即:在勻變速直線運動中,某一段時間的平均速度等於中間時刻的瞬時速度(即中間時刻的瞬時速度)在勻變速直線運動中,中間位移瞬時速度應為:
公式普通運動:只能求出估計值。向左右兩邊各延伸一段趨於0的時間△x/△t即可。
勻速運動:平均速度即是瞬時速度。勻速直線運動的速度即為平均速度
瞬時速度簡稱速度(通常說的速度是指平均速度),但是在解題、學術方面碰到“速度”一詞,如果沒有特別說明均指瞬時速度。
理論上來說,瞬時速度只是一個估計值,精確計算的時間應無限接近於0,但不為0。
方向
瞬時速度的方向,即該點在軌跡上運動的切線方向.
瞬時速度和平均速度:
在勻變速直線運動中,物體運動的平均速度等於中間時刻的瞬時速度。
瞬時速率和瞬時速度:
瞬時速度是矢量,既有大小有有方向;
而瞬時速率是標量,只有大小沒有方向;
瞬時速度的大小是瞬時速率;

