提出原因
在工程設計中會遇到一些特殊情況,如場地地形起伏,局部地質條件變化,以及鄰近的地溝、水池、設備基礎等埋深較大等原因,往往要求把個別柱基礎底面落深。同時,為了施工便利,要求預製柱子的長度統一,並且儘量不增大柱子的計算長度,可將普通杯形基礎的杯口加高,形成高杯口基礎。高杯口基礎已在國內外廣泛地套用於裝配式鋼筋混凝土排架結構等工程實踐中,隨著社會的進步、科技的發展及鋼結構的興起,高杯口基礎在鋼結構廠房中也被大量地採用。
高杯口基礎簡介
當採用裝配式鋼筋混凝土柱時,在基礎中應預留安放柱子的孔洞,孔洞的尺寸應比柱子斷面尺寸大一些。柱子放入孔洞後,柱子周圍用細石混凝土(比基礎混凝土強度高一級)澆築,這種基礎稱為杯口基礎(又稱杯形基礎)。 杯口基礎根據基礎本身的高低和形狀分為兩種:一種叫普通杯口基礎;另一種叫高杯口基礎。 高杯口基礎和杯口基礎的區別是基礎本身的高低不同。所以有人說:高杯口基礎是指在截面很大的混凝土柱子上面再做杯口基礎。
設計建設要求
1)實腹式鋼柱插入高杯口基礎的深度不再遵守現行《建築地基基礎設計規範》中預製鋼筋混凝土柱插入深度之要求,應以現行《鋼結構設計規範》及現行《建築抗震設計規範》中“插入式鋼柱柱腳”的埋入深度為設計依據;
2)當無特殊條件限制時,在高杯口基礎設計中杯壁厚度應儘量滿足構造要求。杯壁厚度滿足構造求不僅為杯壁按構造配筋創造了條件,從而為結構設計人員減少了計算量,同時也提高了高杯口基礎的安全儲備;
3)設計檔案中應特別註明:鋼柱與杯口之間的空隙,套用比基礎混凝土強度等級高一級的細石混凝土充填密實,當達到材料設計強度的70%以上時,方能進行上部吊裝。
高杯口基礎設計
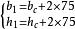
高杯口基礎1、杯口深度
杯口深度是根據廠房鋼柱插入深度確定的,實腹式鋼柱插入混凝土基礎杯口的最小深度d(如圖)可按公式取用:
高杯口基礎或
高杯口基礎式中:h———柱截面高度(長邊尺寸);
d———圓管柱的外徑;
l———吊裝時鋼柱的長度。
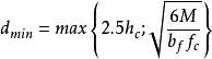
位於地震區的廠房鋼柱柱腳插入杯口的深度應保證能夠傳遞柱全截面屈服時的承載力,為此,實腹式鋼柱柱腳插入杯口的深度同時還應滿足抗震構造的最小深度要求。如下公式:
高杯口基礎式中:M———柱腳全截面屈服時的極限彎矩;
b———柱在受彎方向截面的翼緣寬度;
f———基礎混凝土軸心受壓強度設計值。
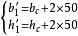
套用上述公式求得鋼柱插入深度d後,便可計算出杯口深度D,如下公式:
高杯口基礎式中:s———鋼柱底端至基礎杯口底的距離,一般採用50mm,當有柱底板時可採用200mm。
2、杯口及杯底截面尺寸
杯口及杯底尺寸應根據所插入的柱腳(底板)尺寸並結合工程安裝及二次灌漿等施工因素等確定,通常按照如下方式確定:
高杯口基礎杯口截面尺寸:
高杯口基礎杯底截面尺寸:
式中:
b———杯口寬度(短邊);
h———杯口高度(長邊);
b′———杯底寬度(短邊);
h′———杯底高度(長邊);
b———插入式柱腳或底板的寬度(短邊);
h———插入式柱腳或底板的高度(長邊)。
3、杯壁和短柱
高杯口基礎的受力機理是將預製柱嵌固在杯口內,通過二次灌漿使預製柱和高杯口基礎結合成為整體而共同協調工作,這就要求高杯口基礎的杯壁和短柱應有保證鋼柱安裝和正常工作時所需的強度及剛度,因而杯壁厚度可按照下表的構造要求進行設計。
| 鋼柱截面長邊h | t | 鋼柱截面長邊h | t |
| 600<h≤800 | ≥250 | 1000<h≤1400 | ≥350 |
| 800<h≤1000 | ≥300 | 1400<h≤1600 | ≥400 |
高杯口基礎在無特殊情況下,杯壁外緣尺寸與短柱截面尺寸是相等的,當確定杯口尺寸和杯壁厚度後,便可計算出短柱的截面尺寸:
高杯口基礎短柱截面尺寸:
施工方法及技術措施
1、定位放線
(1)平面控制網的布設:根據建設單位給定的兩個控制點利用全站儀布置建築方格網。方格網的轉折處應嚴格成90°、方格網的邊長一般為100~200米,邊長的相對誤差一般為d/25000、按照實際地形布設,使控制點位於測角、測距比較方便的地方,並使埋設標樁的高程與場地的設計標高控制在許可範圍內。
(2)平面位置控制及標準:為避免誤差累計,因此需要根據現場B2,B3兩個控制點布設軸線控制網,考慮到作業面放線方便,網點間距最大在50米左右,必須滿足允許誤差。並在每道軸線兩端各布設一個控制點和一個後視點,以避免基礎起來後兩控制點不通視。
(3)高程控制的布設:
a:水準點的布設及埋石:應選在土質堅實,穩固可靠的地方,且便於尋找保存和引測。水準觀測,應在標石埋設穩定後進行。
b:觀測要求及精度要求按照國家三等水準要求:
視距長度不大於100米,前後視距差不大於5米,前後視視距差累計不大於10米,視線離地面距離不小於0.2米,黑、紅面讀數較差不大於3mm,基、輔分劃或黑、紅面所測高差較差不大於5mm。採用歐波DS32水準儀按照三等水準測量的技術要求施測高差閉合差應嚴格處理,廠區高程控制點要定期複測.
2、鋼筋工程
墊層澆築完成待定位放線完成後,綁紮基礎鋼筋網片,按照定位線預留框架柱插筋綁紮固定,為防止框架柱插筋在砼澆築時偏位,分別在柱子每個方向用一根鋼筋斜向支撐,與柱鋼筋綁紮牢固。
3、模板工程
模板工程是主廠房深杯口基礎施工的關鍵工序,高杯基深杯口鋼筋砼基礎的施工順利與否,很大程度上取決於模板工程杯口模板的製作、安裝與拆除。
(1) 下步擴散模板的製作安裝:
高杯口基礎下步擴散基礎模板先在加工場地按照設計圖紙尺寸製作完成,待定位放樣完成後,根據定位線安裝及支撐加固。下步擴散基礎砼澆築。
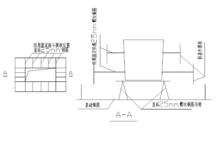
(2)杯口模板的製作
用商品砼木模板,按照杯口設計尺寸製作成楔形活板式杯型模板,上部應高出杯基頂面300㎜左右,以便砼澆築時不落入杯口內,同時便於杯口模板的拆除。具體要求詳見右圖。
楔形模板在每個杯斗的長邊應為兩塊,楔形板不與鎖口木方固定,其餘模板做成條形板,可與鎖口木方用鋼釘連線。杯口底部可用三塊模板組合而成並嵌入側模內固定好,這樣杯口拆模時便於底模拆出。底模板應適當鑽孔,孔徑約20~25㎜,以便於澆搗砼時排氣,使杯底砼密實,同時緩解杯底砼對杯口模板的上推力。
模板的所有稜角均應呈圓弧形,並用砂紙磨光。同時模板在安裝前外邊套用專用的模板隔離劑塗刷,以利於杯口模板拆除。
(3)杯口模板的安裝
高杯口基礎首先用水準儀將杯底標高準確的測於杯基的主筋上,並塗上醒目標誌,用φ25的鋼筋做成馬櫈(每個杯口不少於兩個),馬櫈腿焊於底板筋上。馬櫈高度同杯斗底標高,將杯形斗模板固定在焊好的馬櫈上,再進行杯口模板水平位置的找正。找正時用線墜對準墊層上杯口的上下口尺寸線(杯口的上下口尺寸線事先已彈在墊層上)進行。找正水平位置後,四周用φ25鋼筋將杯斗模板固定,沿杯口高間距600㎜一道,焊於主筋上固定在基礎外膜上。詳見右圖。
為保證砼澆搗時杯口模板不上浮移位,採取以下措施,即用φ14對拉螺栓在杯口模板的大面上穿過,直透杯基兩邊外模板,兩端用螺帽固定在外膜上。每層螺桿不少於2根,沿高度500㎜一道。為保證φ14對拉螺桿抽出,可在螺桿外套φ20PVC硬套管。
4)杯口模板的拆除
杯基砼澆築完成後,待砼具有一定強度,拆模時保證砼不缺角掉棱的情況下即可進行模板拆除。拆除順序應先上後下,先內後外。拆除方法以人工為主,輔以機具(吊車或倒鏈)進行。杯口模板拆除最關鍵的是掌握拆除時間,把握機會,適時拆除。不論白天晚上隨時進行。
4、砼工程
為保證杯基砼的工程質量,按以下原則進行砼澆築。考慮分二次砼澆築,第一次澆注至基礎第二步擴散基礎頂部。施工縫處預埋φ16鋼筋,L=1000㎜,埋入500㎜,間距300㎜。
混凝土強度等級為C30,採用罐車運送,泵車澆築的方法進行。第一次混凝土澆築完成,拆去下步擴散基礎台階模板後,應重新用經緯儀投線,彈出上面兩步基礎及杯斗上下口尺寸線,按前述模板工程中杯斗模板的安裝章節要求,安裝好杯斗及基礎外模,經檢查準確無誤後,方可進行第二次砼澆築。
砼澆築需要注意的幾個問題:
(1)、杯基模板需製作不少於三十套,以防因模板較少,機械澆築過快,第二次循環澆築至第一個基礎時,下層砼仍有較大流動性,影響第二層的澆築。
(2)、砼的坍落度避免過大,應根據現場的使用要求,嚴格控制坍落度,以滿足能泵送出砼的最小坍落度為宜。
(3)、當前霍林郭勒地區氣溫較低(約-3~7℃),基本處於冬施條件,應加入NaNo2等混凝土早強外加劑。
(4)、應選派有經驗的砼工進行振搗,保證混凝土分層振搗密實。
(5)、應有足夠數量(不少於2條)的長軸振搗棒(8m長軟軸)。
施工步驟
高杯口基礎是單層廠房常見的基礎形式。施工過程中常出現質量問題。一般從模板安裝開始進行質量控制。施工時混凝土澆築宜對稱下料。
(一)施工程式
定位放線→人工挖土→基坑土質驗收→澆砼墊層→扎承台鋼筋→支模→驗收鋼筋→澆築砼→支地梁底模→扎地梁筋→支地梁側模→砼澆築→人工養護→局部基礎砌體→驗收→土方分層回填。
(二)承台施工
1、現澆承台基礎
經驗槽後,做磚模澆搗砼C10墊層,然後按紅線定位樁將軸線引至墊層面上,準確放出柱基承台梁模板與柱子邊線,再按設計間距彈線分格,嚴格控制承台底板鋼筋綁孔間距,並按施工規範綁紮成型。KJ柱、排架柱插筋綁紮成型時,必須在最下面用一道箍筋固定,就位後柱筋腳保證與底板筋點焊牢固,柱身根據工程軸線橫成排,縱成列,形成網狀整體用滿堂鋼管腳手架牢固定位,從而防止柱筋振搗移位。
承台基礎採用18mm厚九夾板,50×100mm木枋,@500mm夾箍,並支撐牢固,砼等級C30採用現場攪拌,用雙輪斗車送至工作面,確保砼強度及和易性,用插入式振搗器,每層厚度300mm,承台內振搗順序先邊角後中間,振搗密實,按施工規範要求一次成型。現澆柱子施工縫留於承台表面。承台基礎終凝後澆水養護,不少於14天。
(三) 土方回填
結構驗收合格後,砼強度達到規定要求後,進行土方回填工作。根據工程特點,填料種類,設計壓實係數,施工條件等合理確定填料含水率控制範圍8%,鋪土厚度300mm,打壓遍數,一般蛙式打夯機每層至少夯打三遍,分層夯實時,要求一夯壓半夯。清除基坑內積水,有機雜質;回填前必須檢驗回填土方含水量;如偏高,可採用翻鬆晾曬均勻摻入乾土或換土措施,如偏低,可採取預先灑水濕潤。嚴禁採用澆水使土下沉的所謂“水夯”法。
上、下水管必須理設牢固,回填房心及管溝時為防止管道中心線位移,套用人工先在管道周圍填土夯實,並且兩邊同時進行,直至管頂0.5m以上時,在不損壞管道的情況下,方可採用蛙式打夯機夯實。在抹帶接口處,防腐絕緣層或電纜周圍,應使用細粒料回填。土方回填後,採用環刀法分層取土測定土方回填的密實度不小於90%。
質量標準及保證質量的措施
1、質量標準
(1)、 鋼筋工程
a、 鋼筋的品種和性能,必須符合設計要求和有關標準的規定。
b、 鋼筋帶有顆粒狀和片狀老銹,經除銹後仍有麻點的鋼筋,嚴禁按原規格使用,鋼筋表面應保持清潔。
c、 鋼筋的規格、形狀、尺寸、數量、錨固長度、接頭設定,必須符合設計要求和施工規範的規定。
(2)模板工程
a、 模板及其支撐必須具有足夠的強度、剛度和穩定性。
b、 模板接縫處應嚴密,縫隙不應漏漿,應小於1.5㎜。
c、 模板與混凝土的接觸面應清理乾淨,模板隔離劑應塗刷均勻,不得漏刷或沾污鋼筋。
d、 杯斗四角要做成圓角並用砂紙砂光。
(3)混凝土工程
a、 混凝土所用的水泥、水、骨料、外加劑等必須符合規範及有關規定,檢查出廠合格證或試驗報告是否符合質量要求。
b、 混凝土的配合比、原材料計量、攪拌、養護和施工縫處理,必須符合施工規範規定。
c、 混凝土強度的試塊取樣、製作、養護和試驗要求符和《混凝土強度檢驗評定標準》(GBJ-87)的規定。
d、 混凝土應振搗密實;不得有蜂窩、孔洞、漏筋、縫隙、夾渣等缺陷。
2、保證質量的措施
設專職質檢員對每道工序認真檢查,發現問題及時解決,經三檢合格後及時報驗。混凝土澆筑前必須複合軸線、杯口線、模板幾何尺寸、垂直度、平直度、加固情況、杯斗深度、鋼筋的規格、形狀、尺寸、數量、等必須符合規範要求。

