簡介
高斯平面直角坐標系是以赤道和中央子午線的交點作為坐標原點O,中央子午線方向為X軸,北方向為正值。赤道投影線為Y軸,東方向為正。象限按順時針I,II,III,IV排列。
坐標
地麵點在如下圖(a)所示坐標系中的坐標值稱為自然坐標。在同一投影帶內橫坐標有正值、有負值,這對坐標的計算和使用不方便。為了使Y值都為正,將縱坐標x軸西移500km,並在Y坐標前面冠以帶號,稱為通用坐標。如在第21帶,中央子午線以西的P點,在高斯平面直角坐標系中的坐標自然值為
高斯平面直角坐標系Xp= 4 429 757.075m
Yp=-58 269.593m
而P點坐標的通用值為
Xp= 4 429 757.075m
Yp= 21441730.407m
高斯投影原理
小面積測圖時可不考慮地球曲率的影響,直接將地麵點沿鉛垂線投影到水平面上,並用直角坐標系表示投影點的位置,可以不進行複雜的投影計算。但當測區範圍較大,就不能將地球表面當做平面看待,把地球橢球面上的圖形展繪到平面上,只有採用某種地圖投影的方法來解決。
地圖投影有等角投影、等面積投影和任意投影等。等角投影又稱正形投影,經過投影后,原橢球面上的微分圖形與平面上的圖形保持相似。
高斯(Gauss)投影是橫切橢圓柱等角投影,最早由德國數學家高斯提出,後經德國大地測量學家克呂格完善、補充並推導出計算公式,故也稱為高斯-克呂格投影。高斯投影是一種數學投影,而不是透視投影。高斯投影的條件為:
1.投影后沒有角度變形;
2.中央子午線的投影是一條直線,並且是投影點的對稱軸;
3.中央子午線的投影沒有長度變形。
構想用一個橢圓柱橫套在地球橢球體外,與地球南、北極相切,並與橢球體某一子午線相切(此子午線稱為中央子午線),橢圓柱中心軸通過橢球體赤道面及橢球中心,將中央子午線兩側一定經度(如3°,1.5°)範圍內的橢球面上的點、線按正形條件投影到橢圓柱面上,然後將橢圓柱面沿著通過南、北極的母線展開成平面,即成高斯投影平面。在此平面上,中央子午線和赤道的投影都是直線,並且正交。其他子午線和緯線都是曲線。中央子午線長度不變形,離開中央子午線越遠變形越大,並凹向中央子午線。各緯圈投影后凸向赤道。
距離中央子午線越遠,投影變形越大。為了控制長度變形,測量中採用限制投影頻寬度的方法,即將投影區域限制在中央子午線的兩側狹長地帶,這種方法稱為分帶投影。投影頻寬度根據相鄰兩個子午線的經差來劃分,有6°帶、3°帶等不同分帶方法。
6°帶投影的劃分是從英國格林尼治子午線開始,自西向東,每隔6°投影一次。這樣將橢球分成60個帶,編號為1~60 帶。各帶中央子午線的經度可用公式計算
高斯平面坐標系中央子午線經度
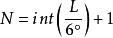
高斯平面坐標系3°投影帶帶號,式中int( )為取整函式。
3°帶劃分是從東京1°30′起,由西向東劃分為120個帶稱為3°帶,如圖,(1-6)所示。
高斯平面坐標系中央子午線經度
高斯平面坐標系3°投影帶帶號
我國通常採用6°帶和3°帶兩種分帶方法。測圖比例尺小於1: 10 000 時,一般採用6°分帶;測圖比例尺大於等於1: 10 000時則採用3°分帶。在工程測量中,有時也採用任意帶投影,即把中央子午線放在測區中央的高斯投影。在高精度的測量中,也可採用小於3°的分帶投影。

