定義
氣體體積流量系指單位時間輸送管道中流過的氣體體積。氣體體積有工作狀態下體積和標準狀態下體積之分,它們都是指在某個壓力和某個溫度情況下的體積,後者是指壓力為一個標準大氣壓、溫度為0℃(或20℃)時的氣體體積。標準狀態溫度多數指0℃,僅在某些場合,例如鼓風機的流量,因多指風機的入口狀態,所以標準狀態溫度採用的是20℃。由於使用工作狀態流量參數時,需說明相應的工作溫度和壓力,這樣比較麻煩,並且在人們的腦海中不容易建立一個量的概念,因此,在工程中常使用標準狀態流量作為測量標準。
既然氣體的體積流量是指標準溫度和壓力下的流量,那么,當介質溫度和壓力偏離設定狀態時,儀表測量的示值就會產生變化。
流量計類型及計算公式
溫度壓力變化對體積流量造成的誤差
1直接輸出式流量計
所謂直接輸出的流量計是指流量信號不用開方處理的流量計,例如渦街流量計、轉子流量計等。
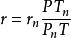
根據氣體狀態方程PV=CT (1),可知式中,P,T,V分別為氣體的壓力、溫度,以及在此溫度下的體積;C為常數。
對於某確定被測對象,其管道直徑確定後,式(1)可改寫為式(2)和式(3)。
體積流量(2)
體積流量(3)
式中,Q為體積流量;P,T,Q,P,T,Q分別為選擇直接輸出式流量計時計算和實際運行時其壓力、溫度和流量值。由此可得壓力、溫度偏離設定值P和T時造成的流量誤差為
體積流量(4)
2差壓式流量計
採用節流裝置測量流量時,視被測氣體為不可壓縮氣體,其流量與節流裝置兩端的差壓ΔP的關係為
體積流量(5)
式中,K為常數;r為隨壓力、溫度變化的氣體密度,並可用下式表達:
體積流量(6)
式中,rn為標準狀態(壓力為Pn,溫度為Tn)下被測氣體的密度。由式(5)和式(6)得到節流裝置在設定壓力、溫度下和在某個工作壓力、溫度下的體積流量表達式為:
體積流量(7)
體積流量(8)
上述式中,P,T,Q,P,T,Q分別為選擇差壓式流量計時計算和實際運行時其壓力、溫度和流量值。 由式(7)和式(8)得到壓力、溫度偏離設定值時造成的誤差為:
體積流量(9)
修正方法
(1)被測介質在實際運行中,由於壓力、溫度偏離設定值,所以會給流量的示值帶來不同程度的誤差。因此,作為計量用的能源介質流量測量,都應考慮溫度和壓力修正。
(2)對於不作為計量用的氣體流量測量,如果已獲得溫度、壓力信號,也應該考慮溫度和壓力修正。因為當今的二次儀表或作為二次儀表使用的各種計算機系統(DCS,PLC,IPC等)都具有溫度和壓力修正功能,已無需像以前老式儀表那樣搭接一個複雜的能滿足功能要求的儀表硬體系統。
(3)對於常溫、常壓下的氣體,也就是說,溫度為30~40℃,壓力為10kPa左右的氣體,不作為計量用,僅作工藝操作參考時,可以不考慮溫度和壓力修正,因為這種工況下,溫度和壓力的變化帶來流量示值的誤差不是很大。
(4)對於壓力為0.01MPa以上的氣體,不管流量測量的目的是什麼,應儘量考慮溫度和壓力修正(如果是常溫氣體,可單獨設壓力修正,不設溫度修正)。這是因為在這種情況下,壓力的波動給流量測量示值帶來的誤差較大。鋼鐵廠中設備密封或吹掃用的氮氣流量測量就屬於這種情況。由於氮氣來源往往不十分充足,一旦使用,氮氣管道壓力往往大幅度下降。儘管在這種工況下對流量測量的精度要求很低,但由於壓力波動的影響太大,也應該考慮壓力修正。

