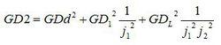
飛輪重量G與飛輪輪緣轉動慣性直徑 D的平方的乘積,稱為飛輪矩,或稱飛輪力矩、飛輪特性。即 GD =4gJ 式中 J——飛輪的轉動慣量 (N·m/s ); g——重力加速度,g=9.8(m/s ); G ——飛輪重量(N); D ——平均直徑 (慣性直徑)(m)。
飛輪矩如圖所示,旋轉物體的動能為 。設折算成單軸系統後的等效轉動慣量為J,則對應有
飛輪矩
飛輪矩兩邊公式乘4g,除/2,即可得與J相對應的等效飛輪矩GD 的折算公式
飛輪矩
飛輪矩式中 為轉速,j為轉速比

飛輪矩的大小是旋轉物體機械慣性大小的體現。
飛輪重量G與飛輪輪緣轉動慣性直徑 D的平方的乘積,稱為飛輪矩,或稱飛輪力矩、飛輪特性。即 GD =4gJ 式中 J——飛輪的轉動慣量 (N·m/s ); g——重力加速度,g=9.8(m/s ); G ——飛輪重量(N); D ——平均直徑 (慣性直徑)(m)。
飛輪矩如圖所示,旋轉物體的動能為 。設折算成單軸系統後的等效轉動慣量為J,則對應有
飛輪矩
飛輪矩兩邊公式乘4g,除/2,即可得與J相對應的等效飛輪矩GD 的折算公式
飛輪矩
飛輪矩式中 為轉速,j為轉速比
飛輪力矩是指發電機轉動部分的重量與其慣性直徑平方的乘積。
簡介 短路比 飛輪矩和轉動慣量關係(泵輪)扭矩。分類根據用途的不同,液力耦合器分為普通型液力耦合器、限矩型液力耦合器和調速型液力耦合器。其中限矩型液力耦合器主要用於對電機減速機...調整輸入輸出轉速比,其它的功能和限矩型液力耦合器基本一樣。根據工作腔數量...
工作原理 分類 優缺點 套用領域6.2 工作機構轉矩、力、飛輪矩和質量的折算 6.3 生產機械...系統運動方程75 3.2 負載轉矩和飛輪矩的折算77 3.2.1 負載轉矩的折算77 3.2.2 飛輪矩的折算79 3.2.3...
圖書信息1 內容簡介 圖書信息2 內容簡介 目錄電力拖動系統的運動方程式6.2 工作機構轉矩、力、飛輪矩和質量的折算6.3...4.3 同步電動機的功率關係與功角特性及矩角特性4.4 同步電動機功率因數...
圖書信息1 內容簡介 圖書信息2 內容簡介 目錄電力拖動系統的簡化 462.2.1 工作機構為轉動情況時轉矩與飛輪矩的折算 462.2.2 工作機構為平移運動時轉矩與飛輪矩的折算 492.2.3 工作機構作提升和下放重物運動時,轉矩與飛輪矩的折算 512.3 生產...
2011版本信息 2012版本信息 圖書信息 內容簡介 圖書目錄非剛性連線的變矩裝置,它以油液(ATF)為工作介質,起傳遞轉矩、變矩...改變油液的流向,是液力變矩器起到變矩作用的關鍵部件。分類與特點液力變矩器...原理 發動機啟動後,曲軸通過飛輪帶動泵輪旋轉,因旋轉產生的離心力使泵輪...
概念簡介 分類與特點 原理 典型結構 故障檢測位移矩陣 3.8 用位移矩陣法設計剛體導引和再現軌跡機構...位移矩陣法設計函式發生器機構 3.9.1 用鉸鏈四桿機構作函式發生器...
圖書信息 內容簡介 目錄 前言飛輪功率達到634kw;日本的小松(komatsu)公司列第二位...,從D21-D575,最小的為D21,柴油機飛輪功率為29.5kw,最大的為D575A-3SD,柴油機飛輪功率達858kw,它也是當前世界上最大...
發展史 分類 現狀簡介 結構與工作 傳動系統坐標軸的矩等於該系各質點質量對同一坐標軸矩之和。所屬學科: 機械工程...飛輪的質心不在轉動軸線上,則會引起劇烈振動而影響機器正常工作和壽命。 質心...,若高速轉動飛輪的質心不在轉動軸線上,則會引起劇烈 振動而影響機器正常工...
質心 質點系質量分布的平均位置 質心-原子質心