定義
風玫瑰[風向/風速統計圖]風玫瑰圖也叫風向頻率玫瑰圖,它是根據某一地區多年平均統計的各個風向和風速的百分數值,並按一定比例繪製,一般多用八個或十六個羅盤方位表示。將羅盤上 360°方位按照每 22.5°一格劃分成 16 格,將實時採集的各個風向統計到這 16 個方向上。玫瑰圖上所表示風的吹向(即風的來向),是指從外面吹向地區中心的方向。
風玫瑰圖分為風向玫瑰圖和風速玫瑰圖兩種。風向玫瑰圖表示風向和風向的頻率。風向頻率是在一定時間內各種風向(已統計到 16 個風向)出現的次數占所有觀察次數的百分比。根據各方向風的出現頻率,以相應的比例長度(即極坐標系中的半徑)表示,按風向從外向中心吹,描在用 8 個或 16 個方位所表示的極坐標圖上,然後將各相鄰方向的端點用直線連線起來,繪成一個形式宛如玫瑰的閉合折線,就是風向玫瑰圖。
同樣的如果用這種統計方法表示各方向的平均風速,就成為風速玫瑰圖,其中平均風速用極坐標中的半徑表示。
繪製方法
按照定義,風玫瑰圖中必須包含風速、風向、風向頻率這三個要素的定量值。
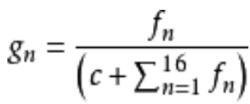
風向玫瑰圖
計算風向頻率,首先需要將一段時期內的風向按照 16 個方向進行統計,得出各個方向的風向頻率,計算公式為:
風玫瑰[風向/風速統計圖],其中 gn為 n 方向上的風向頻率;fn表示在所統計時間段內,n 方向風觀測到的次數;C 為所統計時間段內觀測到的靜風次數。
根據各個方向風的出現頻率,以相應的比例長度按風向中心吹,描在坐標紙上。將各相鄰方向的端點用直線連線起來,繪成一個形成一個宛如玫瑰的閉合折線,得到風向玫瑰圖。
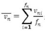
風速玫瑰圖
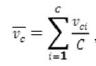
對於風速玫瑰圖,參照風向玫瑰圖中的公式化,各個方向上的平均風速 (除靜風以外) 可以以如下公式定義:
風玫瑰[風向/風速統計圖]
風玫瑰[風向/風速統計圖]其中 vn表示 n 方向上的平均風速 n=1..15,fn表示在所統計時間段內,n 方向風觀測到的次數;vni表示在所統計時間段內在 n 方向上觀測到的第 i 次風的風速。 vc表示在所統計時間段內靜風平均風速,C 為所統計時間段內觀測到的靜風次數,vci為在所統計時間段內,所觀測到的第 i 次靜風的風速。
根據各個方向風的風速,以相應的比例長度按風向中心吹,描在坐標紙上。將各相鄰方向的端點用直線連線起來,繪成一個形成一個宛如玫瑰的閉合折線,得到風速玫瑰圖。
繪製軟體
Matlab編程繪製風玫瑰圖
風玫瑰[風向/風速統計圖]有研究人員採用MS office提供的Acess資料庫軟體以及Matlab Database Toolbox中的VisualQuery Builder互動界面程式選擇相應的下拉選單, 從資料庫中提取相應的數據, 完成風玫瑰圖的繪製。
EXCEL繪製風玫瑰圖
風玫瑰[風向/風速統計圖]有研究人員對Excel軟體的圖表功能中的雷達圖繪製多彩色、多要素的風玫瑰圖進行了研究,總結了用Excel 雷達圖製作多彩色風玫瑰圖的實用技巧。
此外還有用VC++、VB編程擴展繪製軟體等繪製風玫瑰圖的方法。
圖例
風玫瑰圖如圖所示。
風玫瑰[風向/風速統計圖]“風玫瑰”圖也叫風向頻率玫瑰圖,它是根據某一地區多年平均統計的各個風向和風速的百分數值,並按一定比例繪製,一般多用八個或十六個羅盤方位表示,如圖一,由於該圖的形狀形似玫瑰花朵,故名“風玫瑰”。玫瑰圖上所表示風的吹向(即風的來向),是指從外面吹向地區中心的方向。
套用
風玫瑰圖是公共氣象服務的重要組成部分,在建築規劃、環保、風力發電、消防、石油站設計、海洋氣候分析等領域都有重要作用。
城市規劃
工業企業所產生的大氣污染物主要是通過氣體運動來進行稀釋擴散的.風向頻率表示某風向吹刮次數顯示著某風向下游區所受污染的機會,頻率大 風向下游受污染機會多,反之則少.因此, 有廢氣污染的工業通常布局在風玫瑰圖中最小風頻側; 風速決定著污染物的擴散速度, 速度越大, 工廠排出廢氣會被很快拉長, 混入的外界空氣越多. 污染物的濃度越小; 反之, 速度越小, 污染物的濃度越大, 為此有廢氣污染的工業宜布置在風速大的方位。
風玫瑰圖反映著氣象要素風的重要信息, 藉此資料, 運用風象污染理論, 可以有效地指導城市規劃和工業布局, 同時亦可用來分析城市用地現狀合理性與否。
環保
大氣污染物借風的作用擴散並稀釋, 因此評價一個污染源對周圍環境的影響或評價某地被污染的狀況與當地風的條件有關。
風玫瑰圖比較形象、直觀,又衍生出污染機率玫瑰圖和污染係數玫瑰圖,廣泛套用在污染氣象及大氣污染評價工作中。
風力發電
風玫瑰圖是風電場建設前期必不可少的步驟———“風能資源評估”的主要工具。
消防
風玫瑰圖是消防監督部門根據國家有關消防技術規範在開展建審工作時必不可少的工具,一般由當地氣象部門提供。它的作用主要表現在二個方面:
1、在城市規劃中,可以根據風玫瑰圖正確確定大型易燃、可燃氣體和液體貯罐、易燃、可燃材料堆場、大型可燃物品倉庫以及散發可燃氣體、液體蒸氣的甲類生產廠房或甲類物品庫房及生活區的位置。
由於這類貯罐、危險物品倉庫、堆場火災危害性較大,而且建造過程中的投資也比較大,一旦建好就將成為永久性的建築物或構築物,因此,在審核圖紙時,一定要根據風玫瑰選擇恰當的位置,避開城市市區和居民生活區及重要的工礦企業,防止遺留先天性的重大火險隱患。一般地講,易燃、可燃氣體、液體貯罐和易燃,可燃材料堆場等應建造在城市的邊緣地帶且處在常年主導風向的側風向,並與相鄰單位保持足夠的防火間距。顯而易見,這樣布置有兩個優點:一是外來的可燃物和火種進入場內或庫內的機率較小;二是一旦起火,由於缺少蔓延成災的客觀條件,對四鄰的威脅較小,可以避免出現“火燒連營”的現象。
2、對於生產易燃、易爆物品、散發可燃氣體、液體蒸氣的工廠,在選址和審核廠區的整體規劃時,可以根據風玫瑰圖考慮風向對生產裝置、工藝流程以及相鄰企業的生產和本廠生活區的影響。
風玫瑰圖是一個地區,特別是平原地區風的一般情況。但由於地形、地物的不同,它對風氣候起到直接的影響。由於地形、地面情況往往會引起局部氣流的變化,使風向、風速改變,因此在進行建築總平面設計時,要充分注意到地方小氣候的變化,在設計中善於利用地形、地勢,綜合考慮對建築的布置。風玫瑰圖在建審工作中的作用是不容忽視的,工業布局時注意風向對工程位置的影響,防止出現重大失誤。
地區局部風:城市風、海陸風、山谷風,亦會對城市規劃布局產生影響。
讀圖
風玫瑰[風向/風速統計圖]“風玫瑰”圖也叫風向頻率玫瑰圖,它是根據某一地區多年平均統計的各個方風向頻率的百分數值,並按一定比例繪製,一般多用八個或十六個羅盤方位表示,玫瑰圖上所表示風的吹向(即風的來向),是指從外面吹向地區中心的方向。其中,綠線代表夏季,黃線代表的是冬季。
風玫瑰折線上的點離圓心的遠近,表示從此點向圓心方向颳風的頻率的大小。實線表示常年風,虛線表示夏季風。例如右圖:
此實線所形成的封閉圖形與4條坐標線焦點代表風的大小
離中心越遠 此風向頻率越大
比如:此時1月出現最多的風向為偏北風 最少的風向為西南風。風玫瑰能幫助我們很好了解該地區的風向。
![風玫瑰[風向/風速統計圖] 風玫瑰[風向/風速統計圖]](/img/a/17e/nBnauM3X3ETNwkTNwATO1QDM1UTM1QDN5MjM5ADMwAjMwUzLwkzL0YzLt92YucmbvRWdo5Cd0FmLyE2LvoDc0RHa.jpg)
