介紹
廣東省對北京大學物理系的教學和實驗室的建設做出了重要貢獻,和丁佐成共同創辦了中國第一個製造現代科學儀器的大華公司。
顏任光生育兩男,長子顏瑞琪,留學加拿大,獲博士學位,移居加拿大,曾任加拿大參議院議員;次子顏瑞璘博士,世界工程學界超長基幹理論的創立者,獲得這個領域的世界最高獎———羅諾福獎,他同時還獲得愛因斯坦獎和愛迪生獎和赫芝獎,是美國科學領域裡傑出的華裔科學家之一。胞弟顏任明,曾獲得北京大學物理學碩士學位(當時北大頒發的最高學位),曾任崖縣中學校長,備受崖州人士敬仰。
人物簡歷
1888年 生於海南省樂東黎族自治縣九所鎮樂羅村。根據家譜記載,顏任光出生於1888年農曆9月21日,是顏氏12世祖,別名為嘉祿。顏家是樂羅有名望的沒落書香之家,顏任光之父榮清是前清貢生。
1912—1920年 在美國康乃爾大學學習機械工程,後專攻物理學。1916年入芝加哥大學,1918年 獲該校物理學博士學位,後留校任教,次年又在該校賴爾遜物理實驗室從事研究工作。
顏任光1920—1924年 任北京大學物理系教授、系主任(1921—1924)。
1925—1937年 任上海大華科學儀器公司總工程師,兼任海南大學校長,光華大學(今華東師範大學)物理系主任、理學院院長、副校長等職。
1938—1946年 任桂林無線電器材廠廠長。
1947年-1948年 受委託創立私立海南大學,擔任私立海南大學首任校長,開創了海南高等學院之先河。
1948—1966年 任上海大華科學儀器公司研究室主任,上海電錶廠副廠長兼總工程師。
1968年 卒於上海。1968年6月16日逝世,終年80歲。送花圈的有政協全國委員會副主席許德珩、中國科學院副院長周培元、嚴濟慈、政協全國委員錢昌照、外經部副部長汪道涵等。
附:海《文匯報》報導《顏任光同志追悼會舉行》:
原上海電錶廠副廠長兼總工程師、上海市第四屆政協委員顏任光同志追悼會不久前舉行。顏任光同志生前曾任上海市第四屆政協委員、市電子學會理事、物理學會理事等職,因受林彪、“四人幫”迫害,於1968年6月16日含恨逝世,終年80歲。
中共上海市委統戰部、政協上海市委員會、上海市革命委員會僑務辦公室、一機部儀表總局、市儀表局等部門,政協全國委員會副主席許德珩,中國科學院副院長周培源、嚴濟慈,政協全國委員會常務委員錢昌照,外經部副部長汪道涵,一機部副部長曹維廉、諸應璜等同志獻了花圈。(1979年10月4日《文匯報》)
生平概況
顏任光,又名顏嘉祿,字耀秋。1918年獲美國芝加哥大學哲學博士學位後,曾在該校從事教學和研究工作。1920年秋回國,歷任北京大學物理系教授、系主任,北京大學儀器委員會委員長。1922年2月被校長聘為物理系儀器部主任,還曾多次擔任儀器委員會委員。
《辭海》大約從1917年開始,北京大學理科已有物理實驗課,本科一、二、三年級均有實驗,每周為3小時。自從顏任光和丁燮林分別執掌物理系和理預科之後,他們特別注重實驗室的建設,購置實驗儀器或自製儀器、編寫實驗講義、安排實驗課程,儘量讓學生的課堂理論學習和實驗結合起來,培養學生的動手能力。同時,加強教師陣容,提高教學水平。作為系主任的顏任光,像電工一樣經常攜帶著鉗、錐等常用工具。他不僅在實驗室為學生表演實驗、解答疑難,而且經常要求學生並教學生使用刀、銼、鋸、鑿,做一些簡單的鐵制或木製器具。在課堂教學方面,顏任光還自製了許多簡單教學設備,邊講課邊表演。由於顏任光和丁燮林的努力,北京大學物理系的教學質量有了較大提高,也贏得了人們對該系的重視。20年代初,教育界有“南胡北顏”之稱,推崇主持東南大學的胡剛復和北京大學物理系的顏任光,也足見其在中國物理學教學和培養人才上所建立的功勳。
1920年年底,出訪德國的夏元瑮教授來信告知北京大學,愛因斯坦有意要訪問中國。聞此訊,北京大學師生歡欣雀躍。當時在國際學術界有一句傳說,“真能了解相對論原理者在世界上不過半打”,或說“不過6人”。為了迎接愛因斯坦到北京大學講學,尤其是為了讓北京大學師生對相對論基本知識有所了解,北京大學物理系的教授們頓時特別緊張忙碌起來。顏任光從1921年1月起,在北京大學作關於相對論的系統的演講,報告了“相對論的起源”、“愛因斯坦的相對論”、“相對論的發展”等內容。在他的帶領下,許多教授爭先作有關相對論的報告,或撰文刊載於報紙、雜誌。一時間掀起了一股學習相對論的熱潮。雖然愛因斯坦並未如願到北京大學訪問,但是,人們卻從北京大學教授們的講演中獲得了有關知識,對相對論有了深刻印象。
顏任光1924—1925年,顏任光休假出國訪問一年,曾在英國劍橋大學卡文迪許實驗室參觀學習,盧瑟福當時正在該實驗室從事γ粒子轟擊氮核實驗。這次出國,使他最為感慨的是:“巧婦難做無米之炊”,中國太缺少科學研究的儀器設備了!手中不掌握任何儀器的物理學家,再好的科學見解也未必能付諸實現。回國後,顏任光毅然放棄北京大學教授職位,和物理學家丁佐成(又名佐臣)共同創辦了中國第一個現代科學儀器工廠——上海大華科學儀器公司。從此,中國有了自己生產的物理儀器、儀表。
1932年,中國物理學會在北京成立。顏任光作為特邀代表,從上海趕到北京與會。在成立會上,他被選為中國物理學會第一屆董事會董事(中國物理學會成立最初幾年,設董事會),以後又曾任理事。他熱心支持並贊助物理學事業,在物理學界留下極深的印象。
轉入工業界
離開北京大學轉入工業界後,顏任光一直關心教育事業的發展。在上海,他不僅兼任海南大學(海南島)校長,還曾任上海光華大學物理系主任、理學院院長和副校長。30年代中期,一度出任交通部電政司司長、建設委員會委員、資源委員會委員等職。抗日戰爭期間,他主辦桂林無線電器材廠。50到60年代,歷任上海大華科學儀器公司研究室主任、工程師,華東工業部電器工業局電錶製造指導,上海電錶廠副廠長兼總工程師。“文化大革命”中他遭受迫害,1968年在上海憤懣而卒。
理論
北京大學在本世紀最初的兩個10年期間,關於離子遷移的問題在理論上和實驗上都存在著混亂。一種假說認為,每單個離子不是單個的帶電分子,而是在其周圍環繞著基本電荷的中性分子團。因此,這樣的離子的質量大於每個分子不帶電時的分子團質量,在相同的條件下這樣的離子就比單個不帶電的分子移動得慢。另一種假設認為,離子是單個的帶電分子或稱“小離子”,它的緩慢的遷移率是由於它攜有電荷而在通過氣體的路徑上減速的緣故。這兩個假設是不相同的,但它們都被當時物理學界一部分人所接受。在實驗方面,也存在著相互對立的結果。顏任光正是在當時不同的理論與實驗處在分庭抗禮的情形下,在密立根教授指導下從事了氣體離子遷移率的研究。
交流電勢的方法
顏任光採用盧瑟福-弗蘭克交流電勢的方法,也是洛布1916年採用的方法;實驗裝置也與洛布在1916年採用的相同,只是個別細節有所改進。首先,顏任光重複了洛布的實驗;然後在場強從9至6669伏/厘米下測量了氫離子的遷移率,在場強從11至17670伏/厘米下測量了氮離子的遷移率。實驗結果不僅證明了“小離子”的結論,而且發現了up=常數的規律。式中,u是遷移率,p是氣體壓強。顏任光的實驗所以成功,令人信服,並且有新發現,是因為他的實驗特別注意到氣體的產生和淨化,以及氣體中出現的自由電子,並且認真地測量了在高壓和低壓下自由電子的相對數量。這樣,他就可以儘量排除自由電子對離子遷移的影響。顏任光的實驗,加深了人們對離子性質及其遷移緩慢原因的理解。
“流逸法”
在顏任光之前,最精確的氣體粘滯係數測定法是利用氣體通過毛細管流動的所謂“流逸法”。鑒於毛細管的孔徑、大小和形狀的無規性,以及在其末端易產生渦流,因此,流逸法最準確的測定值也只是相對值。在密立根教授指導下,顏任光開創了氣體粘滯係數絕對值的測定方法。他選擇這一課題的另一原因是,在密立根開創油滴法測定電荷之後,測定電荷的精確度就僅僅決定於油滴在氣體中下落的粘滯係數的絕對值。因而,對氣體粘滯係數絕對值的測定就成了當時一項緊迫的研究課題。
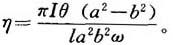
顏任光所採用的方法是:讓外圓筒以恆定角速度ω繞另一個用扭力懸絲懸掛的內圓筒旋轉。從理論上推得的粘滯係數為,式中,I為懸掛系統的轉動慣量,和b分別為外圓筒和內圓筒的半徑,θ為內圓筒轉過的角度,l為內圓筒的長度。該式中各個量值均可以高精度測得。在實驗中,顏任光利用了密立根設計並改進的恆偏轉裝置,而且還改進了測量偏轉角θ的方法,從而顯著地提高了精確度。在整個實驗的結果中誤差大約不超過千分之一。顏任光測定了氫氣、氧氣和氮氣的粘滯係數,修正了當時通用的物理化學用表中已被公認的粘滯係數表。
歷史背景
博士村
提起顏任光,可能熟知中國物理學歷史的人都會知道,他是中國實驗物理學的奠基人之一。可是卻很少有人知道,這位大名鼎鼎的物理學博士,是出生在海南樂東的樂羅村。 上個世紀初年,樂羅村顏氏一家出現了留美博士顏任光等三名博士和一名碩士的家族奇蹟,樂羅“博士村”的美名在海南不脛而走。在樂羅村村民口中津津樂道的名字中,一個是陳垂斌,另一個就是顏任光。
家貧苦讀成大器
因為自豪,樂羅村民將顏任光的事跡編入了他們的《樂羅史志》 。志書中提及,1888年出生的顏任光在孩提時代貪玩、頑皮,但智力卻過人,有過目不忘的本領。字裡行間,依稀可見這位大博士童年在樂羅村的快樂生活。
但現實的生活條件很是殘酷,據顏家家譜記載,囿於經濟條件,顏任光讀完私塾後就無法升學,幸得族兄嘉義慷慨資助,讓他繼續就讀。此時,在樂羅馬嶺山邊設立教會和國小的美國牧師冶基善向顏任光伸出了救助之手,家境貧困的他得以在教堂附設的國小工讀。顏任光不負厚望,成績優異,先是被送往海南聖經學校讀書,後被保送廣州的嶺南中學,他的聰敏和刻苦讓他提前三年畢業,接著升入嶺南大學。不久,顏任光考取公費留學美國。在美國,顏任光先後在康奈爾大學、芝加哥大學獲得了碩士、博士學位。
學成歸國後,顏任光歷任北京大學、私立海南大學、光華大學教授。他為中國的物理學事業作出了重大的貢獻,在1989年版的《辭海》有著這樣的記載:“顏任光早期從事氣體離子運動的研究,主要研究儀器儀表,特別是多種電錶的設計製造,對發展我國的儀器儀表作出了重大貢獻……”。以科學成就而榮登《辭海》,這在海南人中寥寥無幾。在上個世紀20年代初,教育界有“南胡北顏”之稱,所指的就是主持東南大學的胡剛復和北京大學物理系的顏任光。
慷慨譴責軍閥暴行
顏任光不是埋頭於學術研究的,1925年6月,也就是震驚中外的“五卅”慘案後,顏任光與胡適、丁文江等四位名教授,發出慷慨激昂的三千字電報,譴責軍閥的暴行,得到全國各地大中學生的熱烈回響,他們紛紛走上街頭,示威遊行,轟動一時。
對於祖國,對於故鄉,顏任光有著一腔熾熱的愛戀。1949年解放前夕,顏任光遷居香港準備潛心搞科研。後來,為了回響周總理的號召,顏任光毅然從香港回到上海,參加社會主義建設,為發展國家的電力、儀器事業發揮自己的技術和專長。令人遺憾的是,這位為祖國的科學事業奉獻了心血的科學家,在文革中受到“四人幫”的迫害,於1968年含恨離世。
一門俊秀美名揚
也許是由於年代比較久遠熟識的人已經過世,也許是由於顏任光自出國留學後就極少回到村子裡來,樂羅村裡有關顏任光的故事極少,很多村民只是聽說過這個人,而不知其事。如今,除了他們的親人每年清明為他們祭奠外,村裡的年輕一代大多已不知道顏任光這個名人以及他一門俊秀的往事了。不過,許多上了年紀的村民們在說到樂羅村時都會自豪地提到,我國著名物理學家顏任光先生就是從這個村里走出去的,他及其子嗣,曾以聰明才智和傑出貢獻,在我國的科技文化事業上寫下光輝一頁,創造出海南島“博士村”的美名。
樂東九所鎮樂羅村南坊的一塊坡地上,顏任光的家人為他建造了一座紀念碑,在先生的衣冠冢墓碑上寫著的對聯:“博學著中外汗灑科壇興華夏功垂史冊,碩行聞海內血薦軒轅育英才名留人間”。


