基本概念
非線性控制
非線性控制系統,是這樣的控制系統,它的運動微分方程是由非線性的常微分方程描述的。
最早出現的控制系統大都被視為線性的,如液面高度調節器、瓦特蒸汽調節器。這就是說,我們採用了系統的一個線性模型來代替真實的系統。真實的系統中,某些非線性被人們用線性關係代替了,另外一些非線性則被忽略掉了,於是建立起了系統的線性模型。
隨著科學技術的發展,被控制的對象種類越來越多,控制裝置也更加複雜,同時對控制的精確性也提出了各種更高的要求,線性系統模型就顯得不適用了。例如,被控系統中常出現不衰減的自持振動,就是一個突出的例子。這種在實際中觀測到的自持振動(簡稱自振),是線性系統模型中所不能存在的。又例如,各種繼電器系統被大量採用,用線性理論也不能分析這類控制系統。工程技術的需要促進了非線性控制系統的不斷發展,形成了控制理論的一個分支。
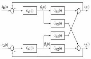
傳統解耦方法
傳統解耦方法主要有兩大類:一類是基於古典控制理論的串聯解耦,另一類是基於多變數頻域理論的解耦方法,這類方法主要適用於線性定常系統,方法如下所述:
基於古典控制理論的串聯解耦中最具代表性的解耦方法是相對增益分析法和對角形解耦方法,這兩種方法是古典解耦方法的代表。其基本思想是:適當設計,使得聯繫多變數控制系統輸入變數與輸出變數之間的系統傳遞函式矩陣成為對角矩陣,並在此基礎上進一步改進,改變目標矩陣(目標矩陣一般取原模型對角線矩陣的減階形式),使其解耦。這種方法除了可以解耦,能同時改變各個控制通道特性,使之更易於控制。基於多變數頻域理論的解藕方法有逆Nyquist曲線法、序列回差法和特徵曲線分析法。這幾種方法本身引用的概念多,計算複雜。
方法
反饋線性化解耦控制
在八十年代末期,非線性系統控制研究方向有了一次重要突破,利用反饋的方法將非線性系統變換為線性系統,然後再按線性系統理論完成系統綜合的方法,這種方法稱為反饋線性化方法。經過近20多年的發展,反饋線性化方法已經成為非線性系統控制理論中一種有效方法,包括微分幾何方法和逆系統方法等。反饋線性化方法與其他傳統方法的一個主要不同點在於:它能處理式一般形式的多變數非線性系統,因而從理論講是具有一般性的方法。
(1)近似線性化解耦
針對非線性系統的線性化問題,早在本世紀40年代就己經有了一些線性化方法如:最經典的線性化是基於泰勒級數展開的局部線性化方法、諧波線性化方法等。但這些方法都有較大的局限性,選定平衡狀態以泰勒級數展開並捨去高次項為代表的“捨去”線性化方法,雖然可以將非線性函式及系統化為線性的,但是“捨去”將使新系統面目全非,以至完全喪失非線性最本質的東西。當系統的實際運行狀態偏離設計中選定的平衡狀態甚遠時,控制效果將大大削弱,甚至可能起相反的作用。而諧波線性化方法,是在自變數為諧變數時,捨去高次諧波使系統的非線性特性近似線性化。這兩種方法都是近似而不是真正意義上的線性化。為此,人們開始尋求不通過“捨去”而實現對非線性系統的線性化方法,期待著能發展一種使非線性系統在它的整個狀態空間上或狀態空間的一個足夠大的域中實現線性化以及線性化解耦的理論和方法,按照這種理論與方法設計的控制系統,可以解決上述近似線性化帶來的弊端。
(2)微分幾何反饋線性化解耦控制
微分幾何方法的實質是通過非線性反饋或動態補償,將非線性系統變換為線性系統。經Henmann, Brockett, Isidori等學者的積極倡導下,非線性系統的微分幾何控制理論在近二十年的非線性控制研究中成為主流,在理論上形成了自己的完整體系,分為狀態反饋精確線性化和輸入輸出解耦線性化兩大類。其主要缺點是使用的數學工具較抽象,研究對象只是特定的一類非線性系統,對系統模型精度要求很高,因而對參數攝動不具有魯棒性,在涉及系統的可逆性和在動態反饋下的結構性質時呈現病態,實際套用難以實現。
(3)逆系統方法
逆系統方法是另一種反饋線性化方法,適用於對一般非線性系統進行研究,近年來得到顯著發展,在非線性系統解耦線性化控制方面取得了一系列理論研究成果。其基本思想為:對於給定系統,首先利用對象模型生成一種可用反饋方法實現的“α階積分逆系統”,將逆系統與原系統複合得到具有線性傳遞關係並解藕的偽線性系統,最後利用線性系統的各種設計理論來設計控制器。其缺點是需要原系統的精確數學模型,而且還需要求出逆系統的顯式表示,這些在實際工業控制過程中是難以滿足的,戴先中等人提出的基於神經網路的逆系統方法在一定程度上克服了以上不足。
逆系統方法是非線性反饋線性化方法中一種比較形象直觀且易於理解的方法,物理概念清晰,不需要高深的數學理論知識。
智慧型線性化解耦控制
智慧型控制作為多門學科的交叉理論,其本質是非線性的,具有對複雜系統逐步學習和認知的能力,有很強的魯棒性。更為重要的是,智慧型控制方法可以不完全依賴於被控系統的數學模型,而主要利用人的經驗、知識和技術以及控制系統的某些信息(如控制輸出、誤差及延遲等)和性能得出相應的控制動作。這就使得該方法在處理複雜性、不確定性方面體現出比現代控制理論中系統辨識方法的自適應控制有更好的魯棒性。智慧型控制主要包括:
(1)專家控制
專家控制是智慧型控制的一個重要分支,又稱基於知識的控制或專家智慧型控制,它的實質是使系統的構造和運行都基於控制對象和控制規律的各種專家知識,並以智慧型的方式加以利用。因此,能夠運用專家的經驗知識對不確定或不精確的問題進行啟發式推理,具有透明性、靈活性。但專家控制系統中知識獲取和穩定性分析仍是研究中的難題。
(2)學習控制
隨著智慧型控制的發展,學習控制已形成一類獨立的智慧型控制方法。一個學習控制系統就是能通過與被控對象和環境的閉環互動作用,根據過去獲得的經驗信息,逐步改進系統自身的未來性能。它能以非常簡單的方式處理一類特定的系統而又不依賴系統的精確數學模型,適應性強、易於實現。目前,學習控制在機器人控制等領域取得了一定研究套用成果。
(3)模糊控制
模糊控制利用了模糊邏輯和模糊推理,採用一系列模糊" if-then”規則形式的語言信息描述系統,將語言信息和數據信息統起來。它最大的優勢是不需要精確模型,適用於比較複雜的不確定非線性系統,有較強的工程實際意義。但模糊控制在實際套用中也存在著一些問題:缺乏良好的學習算法、精度差,而且穩定性有時難以保證。
(4)神經網路控制
神經網路是對生物神經網路的一種模擬們近似,它以一定數量的神經元構成某種拓撲結構,通過最佳化算法改變權值,完成複雜函式的映射關係。因此,從本質上看,神經網路是一種不依賴模型的自適應函式估計器,具有良好的適應、學習和容錯能力。
這一特點使神經網路在許多研究領域中都具有廣泛的套用,其中在控制系統設計中的套用方式有:用於系統辨識與估計;直接用於控制器;用於最佳化計算;與其它智慧型控制方法,如模糊控制、專家控制等相結合。神經網路控制比較適用於那些具有不確定性或高度非線性的控制對象。
由於神經網路內部的映射規則不可見和難以理解,目前還較難對神經網路控制系統進行定性理論分析。一些理論問題,如網路結構設計、加快收斂速度、局部最優、穩定性與可行性等,還未得到圓滿的解決。神經網路的出現只是給非線性系統的建模與控制提供了一種很好的手段,並不能替代其它非線性控制理論與研究方法。
內模控制
內模控制(lnternal Model Control,簡稱IMC)是一種基於數學過程模型進行控制器設計的實用性很強的新型控制策略。因為內模控制設計簡單、控制性能好以及在系統分析方面的優越性,所以它不僅是一種實用的先進控制算法,而且還是研究分析基於模型控制策略的一個重要理論依據。
自從其產生以來,不僅在慢回響的過程控制中獲得了大量套用,而且在快回響的系統控制中也能取得了比PD更為優越的效果,表現出在控制系統穩定性和魯棒性理論分析方面的優勢。經過二十多年的發展,IMC方法不僅己擴展到了多變數和非線性系統,還產生了多種設計方法,比較典型的有零極點對消法、預測控制法、針對PD控制器設計的IMC法、有限拍法等。IMC與其他控制方法的結合也是很容易的,如自適應IMC,神經網路IMC,採用模糊決策的智慧型型IMC ,基於逆系統方法的內模控制等。
非線性自適應解耦控制
相對於線性多變數系統的自適應解耦控制,非線性多變數系統的自適應解耦控制,由於非線性多變數系統的複雜性,使得其研究成果比較少。到了九十年代後期,隨著模糊技術、神經網路等智慧型方法引入才相應的有所發展,並相繼出現了一些自適應解耦控制方法。
有的文針對一類非線性離散時間系統,給出了系統能在緊集中實現解耦的充分必要條件,證明在該條件下系統可解耦成線性系統且可實現極點的任意配置,並設計了神經網路自適應解耦控制器。將一類非線性離散時間系統在平衡點附近Taylor展開,等價表示為線性模型和高階非線性項的組合,提出了由一步超前最優加權前饋解藕控制和神經網路非線性前饋補償相結合的自適應解耦控制方法。針對一類非線性離散時間系統,將其人為化成具有對角參數陣的線性模型和非線性項的組合,分別提出了由一步超前最優加權自適應解耦控制和神經網路非線性前饋補償相結合的自適應解耦控制方法以及由廣義預測自適應解耦控制和神經網路非線性前饋補償相結合的自適應解耦控制方法。
以上研究的非線性多變數系統具有一般形式,但都只通過仿真驗證了所提出的自適應解耦控制方法的有效性,而未給出系統的穩定性和性能分析。針對非線性多變數離散時間開環穩定系統,將一步超前加權自適應閉環前饋解耦控制方法與多模型策略相結合,提出了基於多模型與神經網路的自適應閉環解耦控制方法,證明了閉環系統的BIBO穩定性和跟蹤誤差的有界性。將開環解禍補償器和神經網路近似補償相結合,提出的開環自適應解耦控制方法同樣能夠保證閉環系統BIBO穩定和跟蹤誤差有界,且該方法適用於零動態不穩和開環不穩系統。
此外還有一些文獻針對某幾類特殊的非線性多變數系統進行研究。針對一類具有非對角隨機噪聲係數矩陣的離散時間雙線性系統,將前饋解耦控制策略與廣義最小方差策略相結合,提出了一種既能實現動態解耦又能實現穩態解耦的自適應解耦控制方法,並證明了閉環系統的全局收斂性。針對用狀態空間描述的一類單輸入、多輸出的仿射非線性系統,設計了分級模糊滑模解耦控制器。該方法將非線性系統解耦成多個子系統,通過相應滑模面的設計控制各個子系統的狀態回響,整個系統採用分級模糊滑模控制;基於Lyapunov函式設計自適應律調節分級滑模控制器的耦合因子使得閉環系統在保證穩定的同時達到理想的解禍效果。並將所提出的方法在雙倒立擺系統上進行了仿真驗證。針對具有未知非線性動態的機械手,提出了一種自適應模糊滑模解耦控制方法,證明了系統的穩定性。針對一類四階非線性系統,提出了一種由神經網路和補償控制器組成的自適應神經網路滑模解耦控制器,該方法能夠保證系統漸近穩定。

