一般定義
定義1.1 設V是域P上的線性空間,σ∈Hom(V,V),若存在λ∈Hom(V,V),使λσ=E(單位線性變換),則稱σ為 非奇異線性變換;否則,稱為奇異線性變換。
註:當dim V=n時,非奇異線性變換亦稱為非退化線性變換,或滿秩線性變換,或正則線性變換。在dim V=n的條件下,σ是可逆的充分必要條件為σ是非奇異的,因此,在有限維的條件下也可以說非奇異線性變換就是可逆線性變換。
線性代數中的定義
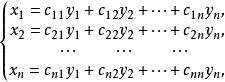
定義1.2 設x,x,...,x;y,y,...,y是兩組文字,係數在數域P中的一組關係式:
非奇異線性變換稱為由x,x,...,x到y,y,...,y的一個 線性替換,或簡稱 線性替換。如果係數行列式
非奇異線性變換那么上述線性替換就稱為非退化的。
例如 ,在解析幾何中,我們看到,當坐標原點與中心重合,一個有心二次曲線的一般方程是
非奇異線性變換為了便於研究這個二次曲線的幾何性質,我們可以選擇適當的角度θ,作轉軸(反時針方向轉軸)
非奇異線性變換
非奇異線性變換把方程 化成標準方程。
如果把
非奇異線性變換看成線性替換,那么它就是非退化的,因為
非奇異線性變換性質
1. 因為二次型和它的矩陣是相互唯一決定的,令
非奇異線性變換故線性替換
非奇異線性變換可以寫成
非奇異線性變換2. 經過一個非退化的線性替換,二次型還是變成二次型。具體地:設
非奇異線性變換是一個二次型,作非退化線性替換
非奇異線性變換
非奇異線性變換我們可以得到一個的二次型
非奇異線性變換故有
非奇異線性變換容易看出,矩陣
非奇異線性變換也是對稱的,這就是前後兩個二次型的關係。
3. 經過非退化的線性替換,新二次型的矩陣與原二次型的矩陣是契約的。
