公式
靜水總壓力作用在任意形狀平面上的靜水總壓力(P)的大小等於該平面面積(A)與其形心(C)處靜水壓強( )的乘
積,
即(1)
靜水總壓力
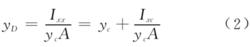
靜水總壓力總壓力的作用方向垂直於作用面。總壓力的作用點(D)稱為壓力中心,見圖1。D點的坐標(坐標系如上圖圖1所示,原點取在水面)可按下式計算:
靜水總壓力工程套用
在工程實踐中還常用壓強分布圖法求作用在平面上的靜水總壓力 。
靜水總壓力
靜水總壓力
靜水總壓力
靜水總壓力
靜水總壓力
靜水總壓力通常將作用在曲面上的靜水總壓力(P)分解為水平分力()和垂直分力()。其中等於作用在該曲面的鉛垂投影面(為平面)上的靜水總壓力;等於曲面上的壓力體的水重,即 (3)
靜水總壓力
靜水總壓力式中,為壓力體的體積;為水的容重。
靜水總壓力
靜水總壓力
靜水總壓力壓力體是指曲面和它在自由水面(或其延長面)上的投影之間的鉛垂柱體,如圖2所示。如曲面在下面承受總壓力,則壓力體為-空的壓力體,鉛垂總壓力的方向向上。如曲面在上面承受總壓力(圖3),則壓力體位於水中,鉛垂總壓力的方向向下。求出水平分力()和垂直分力()後,可用式(4)計算作用於曲面上的總壓力(P)。
靜水總壓力(4)
靜水總壓力總壓力(P)的作用線與水平線的夾角()為
靜水總壓力(5)
靜水總壓力
靜水總壓力P的作用線通過和的交點,但這個交點不一定在曲面上 。
