干涉條件
電磁波干涉兩列波在同一介質中傳播發生重疊時,重疊範圍內介質的質點同時受到兩個波的作用。若波的振幅不大,此時重疊範圍內介質質點的振動位移等於各別波動所造成位移的矢量和,這稱為波的疊加原理。若兩波的波峰(或波谷)同時抵達同一地點,稱兩波在該點同相,干涉波會產生最大的振幅,稱為相長干涉(建設性干涉);若兩波之一的波峰與另一波的波谷同時抵達同一地點,稱兩波在該點反相,干涉波會產生最小的振幅,稱為相消干涉(摧毀性干涉)。
理論上,兩列無限長的單色波的疊加總是能產生干涉,但實際物理模型中產生的波列不可能是無限長的,並從波產生的微觀機理來看,波的振幅和相位都存在有隨機漲落,從而現實中不存在嚴格意義的單色波。例如太陽所發出的光波出自於光球層的電子與氫原子的相互作用,每一次作用的時間都在10秒的數量級,則對於兩次發生時間間隔較遠所產生的波列而言,它們無法彼此發生干涉。基於這個原因,可以認為太陽是由很多互不相干的點光源組成的擴展光源。從而,太陽光具有非常寬的頻域,其振幅和相位都存在著快速的隨機漲落,通常的物理儀器無法跟蹤探測到變化如此之快的漲落,因此無法通過太陽光觀測到光波的干涉。類似地,對於來自不同光源的兩列光波,如果這兩列波的振幅和相位漲落都是彼此不相關的,稱這兩列波不具有相干性。相反,如果兩列光波來自同一點光源,則這兩列波的漲落一般是彼此相關的,此時這兩列波是完全相干的。
如要從單一的不相干波源產生相干的兩列波,可以採用兩種不同的方法:一種稱為波前分割法,即對於幾何尺寸足夠小的波源,讓它產生的波列通過並排放置的狹縫,根據惠更斯-菲涅耳原理,這些在波前上產生的子波是彼此相干的;另一種成為波幅分割法,用半透射、半反射的半鍍銀鏡,可以將光波一分為二,製造出透射波與反射波。如此產生的反射波和透射波來自於同一波源,並具有很高的相干性,這種方法對於擴展波源同樣適用。
理論基礎
電磁波干涉
電磁波干涉兩束光發生干涉後,干涉條紋的光強分布與兩束光的光程差/相位差有關:當相位差 時光強最大;當相位差 時光強最小。從光強最大值和最小值的和差值可以定義干涉可見度作為干涉條紋清晰度的量度。
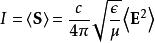
電磁波干涉光作為電磁波,它的強度定義為在單位時間內,垂直於傳播方向上的單位面積內能量對時間的平均值,即玻印亭矢量對時間的平均值:
電磁波干涉
電磁波干涉
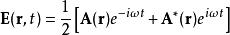
電磁波干涉從而光強可以用 這個量來表征。對於單色光波場,電矢量可以寫為
電磁波干涉
電磁波干涉這裡 是復振幅矢量,在笛卡爾直角坐標系下可以寫成分量的形式
電磁波干涉
電磁波干涉
電磁波干涉
電磁波干涉
電磁波干涉
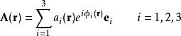
電磁波干涉這裡 是在三個分量上的(實)振幅,對於平面波 ,即振幅在各個方向上是常數。 是在三個分量上的相位, , 是表征偏振的常數。
要計算這個平面波的光強,則先計算電場強度的平方:
電磁波干涉對於遠大於一個周期的時間間隔內,上式中前兩項的平均值都是零,因此光強為
電磁波干涉
電磁波干涉
電磁波干涉對於兩列頻率相同的單色平面波 、 ,如果它們在空間中某點發生重疊,則根據疊加原理,該點的電場強度是兩者的矢量和:
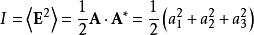
電磁波干涉則在該點的光強為
電磁波干涉
電磁波干涉
電磁波干涉
電磁波干涉
電磁波干涉
電磁波干涉
電磁波干涉其中 、 是兩列波各自獨立的光強,而 是干涉項。 用 、 表示兩列波的復振幅,則干涉項中 可以寫為
電磁波干涉前兩項對時間取平均值仍然為零,從而干涉項對光強的貢獻為
電磁波干涉
電磁波干涉根據前面復振幅的定義, 、 可以在笛卡爾坐標系下分解為
電磁波干涉和
電磁波干涉將分量形式代入上面干涉項的光強,可得
電磁波干涉
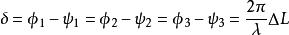
電磁波干涉倘若在各個方向上,兩者的相位差 都相同並且是定值,即
電磁波干涉
電磁波干涉其中λ是單色光的波長, 是兩列波到達空間中同一點的光程差。
此時干涉項對光強的貢獻為
電磁波干涉光波是電矢量垂直於傳播方向的橫波,這裡考慮一種簡單又不失一般性的情形:線偏振光,電矢量位於x軸上,傳播方向為z軸方向,則兩列波在其他方向上的振幅都為零:
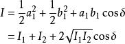
電磁波干涉代入總光強公式:
電磁波干涉
電磁波干涉
電磁波干涉
電磁波干涉
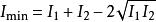
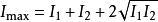
電磁波干涉因此干涉後的光強是相位差的函式,當 時有極大值 , 時有極小值 。
電磁波干涉特別地,當兩列波光強相同即 時,上面公式可化簡為
電磁波干涉
電磁波干涉此時對應的極大值為 ,極小值為0。
電磁波干涉顯然,對於不同的干涉情形,產生的極大值和極小值差異是不同的。由此可以定義條紋的可見度 作為條紋清晰度的量度:
電磁波干涉即可見度的範圍為0到1之間。
雖然以上的討論是基於兩列波都是線偏振光的假設,但對於非偏振光也成立,這是由於自然光可以看作是兩個互相垂直的線偏振光的疊加。
種類
1、 相長干涉(constructive interference):
兩波重疊時,合成波的振幅大於成分波的振幅者,稱為相長干涉或建設性干涉。若兩波剛好同相干涉,會產生最大的振幅,稱為完全相長干涉或完全建設性干涉(fully constructive interference)。
2、相消干涉(destructive interference):
兩波重疊時,合成波的振幅小於成分波的振幅者,稱為相消干涉或破壞性干涉。若兩波剛好反相干涉,會產生最小的振幅,稱為完全相消干涉或完全破壞性干涉(fully destructive interference)。

