簡介
被雷射照明的粗糙物面在透鏡的像面上形成散斑圖,此法稱為散斑照相。若這時另外加一個相干的參考光,該相干的參考光可以是平面波、球面波.甚至是另一粗糙面的散斑場,這種組合散斑場的技術,就稱為散斑干涉術。
背景
1970年,Leendertz開創了以干涉方法實現信息的記錄和表征的光學粗糙表面檢測的新方法,稱為散斑干涉計量。它的信息記錄和表征本質上與全息干涉計量相同,形式上更加靈活,尤其是其同軸或準同軸形成原始散斑干涉場的特點,使之不僅可以用光學方法實現,還可以用電子學和數字方法實現。散斑干涉計量方法在實驗力學中的主要套用之一是測量物體的位移、應變 、振動等。這種測量方法不但具有非接觸的優點,而且可以測量面內及離面的變形、物體表面以及內部的應變,比較圓滿地解決振動與瞬變的問題。在光學實現方法,原始散斑場以光學方法記錄,以光學信息處理技術實現信息的表征。這種方法通常將散斑干涉圖記錄在全息乾版上,因而必須經過繁雜的顯影、定影處理以及再現過程。而這些過程必須嚴格在暗房中進行,從而使全息干涉在工程中推廣套用受到限制 。
電子散斑干涉計量技術是用電子學和數字方法實現的散斑干涉計量技術。早期的電散斑干涉計量技術的主要特點是用電視監視器直接顯示實時相關條紋,其強度相關是由視頻信號的相減或相加來實現。現階段的電子散斑干涉計量技術一般都用 CCD 攝像頭代替普通照相機和底片(或全息乾版),用計算機進行圖像處理完成信息的表征 。這樣不僅可省去底片顯影、定影等複雜的濕處理過程,而且可以直接將輸出的信號輸入計算機進行圖象處理,實時觀察相關條紋,而且也不必在暗房中進行試驗,故可用於工程結構的現場測試。
實驗系統組成及光路
電子散斑干涉系統由光學干涉儀和信息處理系統組成。光學干涉儀形成原始散斑干涉場,由CCD探測器將其轉換成標準視頻信號輸入到帶圖像卡的計算機進行圖像處理,最後可以直接在螢幕上觀察到與變形相關的干涉條紋。實驗系統主要包括:
①外腔式雷射器②光束提升器③漸變分光器④過半球擴束鏡⑤分光稜鏡⑥全反射鏡⑦變焦鏡⑧CCD攝像頭⑨偏振片⑩帶圖像卡的計算機。
典型實驗光路如圖所示:
典型實驗光路示意圖實驗方法
1)按設定的實驗光路布置好各光學元器件以後,適當調整變焦鏡,使被測試件成像清晰、大小適中;
2)通過CCD取得一幅像,然後載入使試件產生形變後取得第二幅像,利用圖像卡,自動將這兩幅像相減,最後可以直接在螢幕上觀察到與變形相關的干涉條紋。
原理
散斑干涉計量系統可直接顯示等離面位移條紋以及等面內位移條紋,從而利用等位移條紋測出物的位移。
測量離面位移
如圖所示,雷射束照明物體,經變焦鏡成像在CCD平面上,由R點發出的參考雷射束經分光稜鏡反射後也
照射在CCD 面上。R 點與成像透鏡的光束共軛,參考光好像從O點射出一樣。這樣,參考光束就與物光束一致,
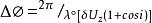
產生干涉作用。由CCD接收散斑干涉圖樣並轉化為標準視頻信號,輸入計算機記錄(存儲)及處理。設物體沿 z 方向(即沿與物面垂直方向)有位移δUz,理論上證明,變形前後散斑的位相變化為:
離面位移測量示意圖
散斑干涉術式中i為照射物面雷射束的入射角。當 ΔΥ=2Nπ時,變化前後的散斑圖像完全相同。通過計算機圖像處理將記錄存儲的變形前散斑圖與變形後的斑圖相減,得到黑條紋位置,於是δUz =Nλ/[ (1 +cosi)]。
測量面內位移
如圖所示,兩束相干平面波雷射束以相同入射i在法線兩側入射到粗糙物面上。被物面散射的光通過物鏡成像在 CCD 平面上(該平面垂直於物面法線)。CCD把散斑圖樣轉換為標準視頻信號,輸送至帶圖象卡的計算機記錄(存儲)以及進行圖像處理。
面內位移測量示意圖設物體沿x方向產生位移δUx,沿y方向位移δUy,沿z方向位移δUz,則位移前後的程差改變為:
散斑干涉術
散斑干涉術
散斑干涉術這裡分別表示左、右兩邊入射雷射束由於物體位移而產生的程差。這兩支光束相對位相改變為
散斑干涉術如果ΔΥ=2Nπ,則位移前後散斑圖相減為0,形成黑紋。於是,δUx =Nλ/(2sin i)。黑條紋就是沿 x 方向等面內位移分量的軌跡。
散斑
定義
散斑,也稱斑紋。自1960年雷射器問世後不久,人們就觀察到了一種現象:當一束雷射射到物體的粗糙表面上時,由該物體上各點散射的光強位相是隨機分布的,他們相加以後的振幅與位相都是隨機的,故在粗糙表面前面的空間將布滿明暗相同的亮斑與暗斑,這些亮斑與暗斑的分布是雜亂的,所以稱為散斑,散斑布滿整個空間。散斑經過一個光學系統,在它的像平面上形成的散斑,即為成像散斑。本實驗採用成像散斑,有利於利用透鏡從空間散斑中確定所需的散斑採樣面,同時也方便利用CCD進行數據採集。
散斑的大小與望遠鏡的愛里斑的大小同數量級。因為粗糙度大於光波波長,所以物體各點發出子波到達觀察點的位相是隨機分布的。1877年K.埃克斯納研究散射光干涉現象時,在夫琅和費衍射亮環內觀察到輻射顆粒狀散斑圖樣,這種輻射狀是光源單色性不夠引起的。以雙星為例,每個星都產生相同的散斑圖樣,由於雙星之間角距離,會使兩個完全相同的散斑圖樣在空間有一小位移,從而出現類似楊氏干涉的周期條紋。
散斑成因
一般地說,電磁波以至粒子束經受介質的無規散射後,其散射場常會呈現確定分布的斑紋結構,這就是所謂的散斑。本文所要研究的散斑是由雷射通過粗糙表面散射形成的,並且雷射光源具有良好的相干性,而工作環境是不變的,隨機場的分布在時域上是穩定的,只是空間坐標的函式,只在某些必要的條件下特別指明時,才涉及到隨時間變化的光場的隨機特性。
從可見光波長這個尺度看,一般物體表面都很組糙,這樣的表面可以看作是由無規分布的大量面元構成。當相干光照明這樣的表面時,每個面元就
相當於一個衍射單元,而整個表面則相當於大量衍射單元構成的“位相光柵”。對比較粗糙的表面來說,不同衍射單元給入射光引入的附加位相之差可達2π的若干倍。經由表面上不同面元透射或反射的光振動在空間相遇時將發生干涉。由於諸面元無規分布而且數量很大,隨著觀察點的改變,干涉效果將急劇而無規地變化,從而形成具有無規分布的顆粒狀結構的衍射圖樣。以上是在光場通過自由空間傳播條件下對散斑成因的說明。如果物體表面通過光學系統成像,只要成像系統的點擴散函式具有足夠的“寬度”,折算到物平面後能在物體表面覆蓋足夠多的面元,則來自這些面元的光線將在同一像點處相干疊加,從而形成散斑。
雷射散斑
當雷射照射在牆壁、紙張、毛玻璃等這些平均起伏大于波長數量級的光學粗糙表面(或透過光學粗糙的透射板)上時,這些表面上無規分布的面元散射的子波相互疊加使反射光場(或透射光場)具有隨機的空間光強分布,呈現出顆粒狀的結構,這就是雷射散斑。
雷射散斑具有隨機性,無空間參照性,它與無線電收音機的電噪聲一樣,對信息的傳遞是有害的。然而噪聲本身也是物質運動的一種形式,在無線電廣播中人們就利用高頻電波作載波傳遞信息。因此,只要運用得當,散斑也可以成為信息的載體。
雷射散斑是雷射照射在粗糙表面上而形成的,因此散斑圖樣的分布必定會依賴於被照表面的細微結構,從而可以利用它來測量表面粗糙度;散斑是由大量細微的高反差亮斑構成,根據“測不準關係”,它的頻譜本身必然很寬,因此可利用它對圖像信息編碼,進行圖像的加減,信息存儲。
物體的位移或變形必然引起散斑場的變化,因此通過測量散斑場的變化就可以獲取物體的形變信息,這就是散斑計量技術的研究內容。
套用
由於散斑攜帶著物體粗糙表面的某些信息,藉助於散斑不僅可以研究物體粗糙表面本身的信息,而且還可研究其形狀與位置的變化。當物體表面(或內部)的某一點發生相應的微小位移時,要引起所對應的散斑點發生相應的移動。利用散斑分析技術如二次曝光的照相方法將物體表面(或內部)產生的微小位移前後的散斑記錄在同一張記錄材料上時,通過分析比較就可測量出物體表面(或內部)的微小位移和形變。該方法用於無損檢測中就可檢測出被測物表面或內部的缺陷。利用散斑作為信息載體測量漫反射表面位移和變形檢測就是有散斑照相術和散斑干涉。散斑照相術在實驗力學檢測獲得一系列的套用,如面內位移、位移梯度、表面斜率和形貌等的測量;散斑干涉主要用於離面位移和形貌的測量。
雷射散斑干涉在其他許多領域也得到套用。包括:測量縱向位移的散斑干涉技術,測量橫向位移的散斑干涉技術,雷射散射法測量圓柱內孔表面質量,測量粗糙表面光潔度等等。
