電子的有效質量
電子的有效質量正文
見固體的能帶。

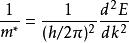
在描述半導體中電子在外力作用時,一方面受到外力f的作用,一方面還和半導體內部原子、電子相互作用,使得求解力與速度的關係變得困難。引入有效質量可以概括半導體內部勢場的作用,使得求解半導體在外力作用下的規律時,可以不涉及內部勢場作用。
電子的有效質量見固體的能帶。
有效質量(Effective mass),是用來方便引入經典力學的解決方法牛頓第二定律的一種近似。它近似認為電子受到原子核的周期性勢場(這個勢場和晶格周...
定義 與慣性質量的區別 公式表示 補充說明《電子質量》為中國電子行業唯一質量權威刊物,刊物欄目包括測試技術、質量工程、IC與元器件、信息通信等,在發展過程中,該刊還擁有了一批顧問企業,比如青島海信等。
基本概述 基本資料 包括內容 顧問企業 辦刊宗旨《電子質量》為中國電子行業唯一質量權威刊物,刊物欄目包括測試技術、質量工程、IC與元器件、信息通信等,在發展過程中,該刊還擁有了一批顧問企業,比如青島海信等。
基本資料 包括內容 顧問企業 辦刊宗旨 主要讀者電子信息產業的質量工作,部組織制定了《電子信息產業“十一五”質量發展規劃...的關鍵時期。電子信息產業質量工作必須面向信息化帶動工業化的需求、面向...信息產業健康、快速發展創造有利條件。為指導“十一五”期間電子信息產業質量工作...
前言質量成本是20世紀下半葉由美國著名的質量管理專家費根鮑姆(A.V.Feigenbaum)提出,一般是指企業為了保證和提高產品質量或作業質量而發生的一切費...
作業質量成本管理的含義 作業質量成本管理的形成條件 作業質量成本管理的形成2011年12月15日,四川省人民政府辦公廳以川辦發〔2011〕83號印發《四川省“十二五”質量發展規劃》。該《規劃》分質量發展現狀及形勢分析、指導思想...
四川省人民政府辦公廳通知 四川省“十二五”質量發展規劃 一、質量發展現狀及形勢分析電子病歷(EMR,Electronic Medical Record)也叫計算機化的病案系統或稱基於計算機的病人記錄(CPR,Computer-Base...
基本信息 套用現狀 功能接口規範 主要套用 電子病歷電子民主(electronie democracy,即e-democracy)是近年來隨著網路的發展從西方引進的概念,相關的概念還有數字民主(digit...
定義 原則 構建條件 組成部分 運用工具