基本概念
電位滴定(potentiometric titration)是在滴定過程中通過測量電位變化以確定終點的滴定方法 。
電位滴定特點
與直接電位法相比
電位滴定是通過測量電位變化,算出化學計量點體積;
電位滴定準確度和精密度高;
電動勢並沒有直接用來計算待測物的濃度。
1.電位滴定是通過測量電位變化,算出化學計量點體積;
2.電位滴定準確度和精密度高;
3.電動勢並沒有直接用來計算待測物的濃度。
與指示劑滴定法相比
電位滴定可用於滴定突躍小或不明顯的滴定反應;
電位滴定可用於有色或渾濁試樣的滴定;
電位滴定裝置簡單、操作方便,可自動化;
電位滴定常採用等步長滴定。
1.電位滴定可用於滴定突躍小或不明顯的滴定反應;
2.電位滴定可用於有色或渾濁試樣的滴定;
3.電位滴定裝置簡單、操作方便,可自動化;
4.電位滴定常採用等步長滴定。
電位滴定裝置
常見的電位滴定手動裝置和自動裝置示意圖如下:
電位滴定手動滴定裝置由參比電極、指示電極、電位計、滴定管、滴定池及攪拌裝置組成。
自動滴定裝置是在滴定管末端連線可通過電磁閥的細乳膠管,此管下端接上毛細管。滴定前根據具體的滴定對象為儀器設定電位(或pH)的終點控制值(理論計算值或滴定實驗值)。滴定開始時,電位測量信號使電磁閥斷續開關,滴定自動進行。電位測量值到達儀器設定值時,電磁閥自動關閉,滴定停止。
現代的自動電位滴定已廣泛採用計算機控制。計算機對滴定過程中的數據自動採集、處理,並利用滴定反應化學計量點前後電位突變的特性,自動尋找滴定終點、控制滴定速度,到達終點時自動停止滴定,因此更加自動和快速。
終點確定方法
電位滴定終點的確定方法
電位滴定終點的判定方法有繪製E-V曲線法、繪製△E/△V -V曲線法和二級微商法 。詳細方法表述如下:
繪製E-V曲線
用加入滴定劑的體積(V)作橫坐標,電動勢讀數(E)作縱坐標,繪製E-V曲線,曲線上的轉折點即為化學劑量點。該法簡單、準確性稍差。
電位滴定具體數據處理方法為:首先根據測試數據繪製E-V曲線,然後做兩條余與滴定曲線相切,並與橫軸夾角為45度的直線A、B(如上圖紅色切線所示),再做垂直於橫軸的直線(如圖中虛線所示),使夾在AB間的線段被曲線交點C平分,即C點就是拐點。
繪製E/V-V曲線
△E/△V為E的變化值與相對應的加入滴定劑的體積的增量的比。曲線上存在著極值點該點對應著E-V 曲線中的拐點,即為化學劑量點。
電位滴定具體數據處理方法為:以加入滴定劑的體積為為橫坐標,以ΔE/ΔV為縱坐標,畫出滴定曲線。曲線的最高點即為滴定終點。由最高點引橫軸的垂線,交點就是消耗滴定劑的體積。
二級微商法
以二階微商值為縱坐標,加入滴定劑的體積為橫坐標作圖。 △ E/△V =0所對應的體積即為滴定終點。
電位滴定二級微商法又稱二階微分滴定曲線,縱坐標Δ Ε/ΔV =0的點即為滴定終點。通過後點數據減前點數據的方法逐點計算二階微商。
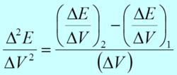
電位滴定具體計算公式為:
其中滴定終點的體積可由內插法求得,即取二階微商的正、負轉化處的兩個點的 體積值V,V。然後通過如下公式求得滴定終點:
電位滴定套用及選擇
電位滴定的套用及電極選擇
使用不同的指示電極,電位滴定法可以進行酸鹼滴定,氧化還原滴定,絡合滴定和沉澱滴定 。電極的選擇標準如下表所示:
| 測定方法 | 參比電極 | 指示電極 |
| 酸鹼滴定 | 甘汞電極 | 玻璃電極,銻電極 |
| 沉澱滴定 | 甘汞電極,玻璃電極 | 銀電極,硫化銀薄膜電極等離子選擇性電極 |
| 氧化還原滴定 | 甘汞電極,鎢電極,玻璃電極 | 鉑電極 |
| 絡合滴定 | 甘汞電極 | 鉑電極,汞電極,鈣離子等離子選擇性電極。 |

