程式
雷米茲演算法
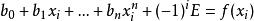
雷米茲演算法雷米茲算法由一函式f開始,欲近似一集合X,且在近似的區間上工有 個取樣點 , 通常Chebyshev nodes可映射至該區間,步驟如下:
解線性系統之等式
1.解線性系統之等式
雷米茲演算法
雷米茲演算法(其中 ),
雷米茲演算法對於未知的 及E。
雷米茲演算法
雷米茲演算法使用 作為多項式 的係數。
雷米茲演算法找出集合M,為 之區域極大錯誤點。
雷米茲演算法
雷米茲演算法
雷米茲演算法若在 之中的所有 都是相同大小,僅正負號不同的話,則 為極小化極大近似之多項式。若否,則M取代X並重複上述步驟。
此結果稱為最佳近似多項式、切比雪夫近似、或最小化最大近似。
初始化選擇
由於切比雪夫節點在多項式插值理論中所扮演的腳色,故通常選擇其為初始近似的方法。由拉格朗日插值法 L( f) 初始化一函式 f之最佳化問題,可以證明此初始近似之邊界限制為:
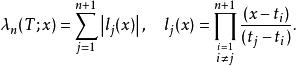
雷米茲演算法其中節點 ( t, ..., t) 之拉格朗日插值法運算元的常數為
雷米茲演算法T為切比雪夫多項式的零點,而
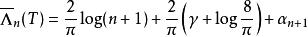
雷米茲演算法對提供次最佳之切比雪夫節點來說,其漸進線為
雷米茲演算法( γ為歐拉-馬歇羅尼常數),
雷米茲演算法而上界為
雷米茲演算法
雷米茲演算法
雷米茲演算法Lev Brutman 計算出對 的邊界,而 為切比雪夫多項式之零點
雷米茲演算法
雷米茲演算法Rüdiger Günttner由對 之較粗略的估算計算出
雷米茲演算法細節討論
在此將提供先前簡述步驟的詳細內容 ,在這個章節令指數 i從 0 跑到 n+1.
步驟 1:給定 , 求 n+2 條等式之線性系統之解
雷米茲演算法
雷米茲演算法(其中),
雷米茲演算法對於未知的 和 E.
雷米茲演算法
雷米茲演算法
雷米茲演算法
雷米茲演算法可以很清楚地觀察到,在這個式子裡 若要成立,只有在節點 為 排序的情況下才能達到,無論是嚴格遞增或遞減。這樣一來這個線性系統便有唯一解。(廣為人知的,並非每個線性系統都可以求解)。 此外,求解之複雜度最少為 ,而一個從函式庫求解的標準計算器需要的複雜度,在此有一簡單證明:
雷米茲演算法
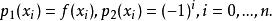
雷米茲演算法計算前 n+1個節點之{\displaystyle f(x)}標準 n階插值, 以及對於{\displaystyle (-1)^{i}}之標準 n階插值
雷米茲演算法
雷米茲演算法至此,需要次數值運算。
雷米茲演算法
雷米茲演算法
雷米茲演算法
雷米茲演算法
雷米茲演算法
雷米茲演算法
雷米茲演算法
雷米茲演算法
雷米茲演算法在 與 之間,多項式 有其 i-階 零點zero between,因此在與之間無任何零點,意即與正負號相同。
雷米茲演算法線性組合亦為一 n次多項式
雷米茲演算法
雷米茲演算法選擇任何 E,對 ,下列式子與上述等式相同:
雷米茲演算法解 E得:
雷米茲演算法如前述所提及,上式分母之兩項有相同正負號,因此
雷米茲演算法是完整定義的。
給定 n+2 階節點,其誤差為正負輪流:
雷米茲演算法de La Vallée Poussin理論說明在這種形況下,沒有誤差少於 E之 n次多項式存在。
雷米茲演算法
雷米茲演算法步驟 2把多項式表示由 轉為.
雷米茲演算法步驟 3依照以下所述改善輸入節點 的誤差{\displaystyle \pm E}。
雷米茲演算法
雷米茲演算法
雷米茲演算法在每個 P-領域,現在的節點 將被區域最大 取代,同樣在每個 N-領域, 將被區域最小取代, 在這部分並不要求高精確律。
雷米茲演算法
雷米茲演算法
雷米茲演算法
雷米茲演算法令, 其大小 皆大於或等於 E。 de La Vallée Poussin理論及其證明也可以套用至, 而使此 n次多項式有最小可能誤差的新下界為。
雷米茲演算法
雷米茲演算法
雷米茲演算法步驟 4:分別以
與為新的上下界,此疊代算法的終止條件為: 重複上述步驟直到足夠小且不再遞減。變異
有時候在最大絕對差異點的附近,會有複數個點同時被取代。
有時候相對誤差會被用來衡量函式與其近似的差異,特別是在電腦上用浮點數做運算的函式。
