債券種類
債券按付息方式分類,可分為零息債券、貼現債券、附息債券、固定利率債券 、浮動利率債券 。
零利息債券零息債券是指以貼現方式發行,不附息票,而於到期日時按面值一次性支付本利的債券。
零息債券發行時按低於票面金額的價格發行,而在兌付時按照票面金額兌付,其利息隱含在發行價格和兌付價格之間。零息債券的最大特點是避免了投資者所獲得利息的再投資風險。零息債券是不派息的債券,投資者購買時可獲折扣(即以低於面值的價格購買),在到期時收取面值。由於這些特性,零息債券對利率的改變特別敏感。一般而言,債券價格與利率變動呈反比關係。
零息債券在國際債券融資市場中也占有相當大的份額,我國在國內債券市場上也曾成功地發行過零息債券,但其債券期限較短。
債券特點
其具體特點在於:
該類債券以低於面值的貼現方式發行,由其發行貼現率決定債券的利息率;
該類債券的兌付期限固定,到期後將按債券面值還款,形式上無利息支付問題;
該類債券的收益力具有先定性,對於投資者具有一定的吸引力;
該類債券在稅收上也具有一定優勢,按照許多國家的法律規定,此類債券可以避免利息所得稅。
零息債券的優點是:
公司每年無須支付利息或只需支付很少的利息;按稅法規定,零息債券或低息債券發行時的折扣額可以在公司應稅收入中進行攤銷。
其缺點是:
債券到期時要支出一筆遠大於債券發行時的現金;這類債券通常是不能提前贖回。因此,假如市場利率下降,公司不能要求債券投資者將債券賣回給公司。
債券定價
零息票債券屬於折讓證券,在整個借款的年期內不支付任何利息(息票),並按到期日贖回的面值的折讓價買入。買入價與到期日贖回的面值之間的價差便是資本增值,因此:
買入價 = 面值 - 資本增值
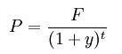
計算零息票債券價格的公式為:(如圖)
而:
P = 價格
F = 面值
y = 折讓率(收益率或孳息)
t = 距離到期的時間

