到期收益率
所謂到期收益,是指將債券持有到償還期所獲得的收益,包括到期的全部利息。到期收益率又稱最終收益率,是投資購買國債的內部收益率,即可以使投資購買國債獲得的未來現金流量的現值等於債券當前市價的貼現率。它相當於投資者按照當前市場價格購買並且一直持有到滿期時可以獲得的年平均收益率。概述
滬市國債到期收益率圖到期收益率計算標準是債券市場定價的基礎,建立統一、合理的計算標準是市場基礎設施建設的重要組成部分。計算到期收益率首先需要確定債券持有期應計利息天數和付息周期天數,從國際金融市場來看,計算應計利息天數和付息周期天數一般採用“實際天數/實際天數”法、“實際天數/365”法、“30/360”法等三種標準,其中應計利息天數按債券持有期的實際天數計算、付息周期按實際天數計算的“實際天數/實際天數”法的精確度最高。許多採用“實際天數/365”法的國家開始轉為採用“實際天數/實際天數”法計算債券到期收益率。中國的銀行間債券市場從2001年統一採用到期收益率計算債券收益後,一直使用的是“實際天數/365”的計算方法。隨著銀行間債券市場債券產品不斷豐富,交易量不斷增加,市場成員對到期收益率計算精確性的要求越來越高。為此,中國人民銀行決定將銀行間債券市場到期收益率計算標準調整為“實際天數/實際天數”。調整後的到期收益率計算標準適用於中國所有銀行間債券市場的發行、託管、交易、結算、兌付等業務。
計算公式
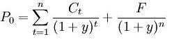
美國國債到期收益率設F為債券的面值,C為按票面利率每年支付的利息,P0為債券當前市場價格,r為到期收益率,則:
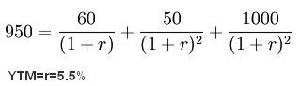
到期收益率舉例說明:例題:如果票面金額為1000元的兩年期債券,第一年支付60元利息,第二年支付50元利息,現在的市場價格為950元,求該債券的到期收益率為多少?
到期收益率實際套用
短期債券到期收益率
對處於最後付息周期的附息債券、貼現債券和剩餘流通期限在一年以內(含一年)的到期一次還本付息債券,到期收益率計算公式為: 到期收益率 = (到期本息和-債券買入價)/(債券買入價*剩餘到期年限)*100%
各種不同債券到期收益率的具體計算方法分別列示如下:
1、息票債券的計算
到期收益率=(債券年利息+債券面值-債券買入價)/(債券買入價*剩餘到期年限)*100%
例:8某公司2003年1月1日以102元的價格購買了面值為100元、利率為10%、每年1月1日支付1次利息的1999年發行5年期國庫券,持有到2004年1月1日到期,則:
到期收益率2、一次還本付息債券到期收益率的計算
到期收益率=[債券面值(1+票面利率*債券有效年限)-債券買入價]/(債券買入價*剩餘到期年限)*100%
例:甲公司於2004年1月1日以1250元的價格購買了乙公司於2000年1月1日發行的面值為1000元、利率為10%、到期一次還本利息的5年期公司債券,持有到2005年1月1日,計算其投資收益率。
到期收益率3、貼現債券到期收益率的計算
到期收益率=(債券面值-債券買入價)(債券買入價*剩餘到期年限)*100%
長期債券到期收益率
長期債券到期收益率採取複利計算方式(相當於求內部收益率)。
到期收益率其中:Y為到期收益率;PV為債券買入價;M為債券面值;t為剩餘的付息年數;I為當期債券票面年利息。
例:H公司於2004年1月1日以1010元價格購買了TTL公司於2001年1月1日發行的面值為1000元、票面利率為10%的5年期債券。要求:(1)如該債券為一次還本付息,計算其到期收益率。(2)如果該債券為分期付息、每年年末付一次利息,計算其到期收益率。
1、一次還本付息
根據1010=1000*(1+5*10%)(P/F,i,2)
可得: (P/F,i,2) = 1010/1500
=0.6733
查複利現值係數表可知:
當i=20%,=0.6944
當i=24%,=0.6504
採用插值法求得:i=21.92%
2、分期付息,每年年末付一次利息
根據1010=1000*(P/A,i,2)+1000*(P/F,i,2)
=100*(P/A,i,2)+1000*(P/F,i,2)
當i=10%,(淨現值)NPV=-10.05(元)
由於NPV小於零,需進一步降低測試比率。
當i=8%,NPV=25.63(元)
採用插值法求得:i=9.44%
社會效應
股票、基金這類投資產品的收益率計算方法,1元淨值買入的基金,2年後以2元淨值拋出,年化收益率就是2的二次方再減一,即41.4%左右。但是保險產品卻很發複雜。分紅險或者年金險之類,很多會要求投資者在前10年內每年固定繳納一筆費用,然後從某一年開始又會每年或者每幾年返還一筆資金,要再複雜些,就在投資者繳費的幾年裡時不時返還一筆資金,由於時而支出時而收入,因此很多投資者看得是暈頭轉向,更不知收益率如何計算了。
分紅險的這種收益方式雖然複雜,但是和債券極為類似。在計算其收益率時,同樣可以以內部報酬率(IRR,InternalRateofReturn)來計算到期收益率。內部報酬率是一個利用折現概念計算而得的收益率,其具體含義以及與年化收益率區別等問題普通投資者無需關注,只需要知道這是一個可以衡量分紅險、債券等有一連串收入支出的投資產品收益高低的指標即可。

