簡介
離散選擇法( Discrete choice approach,縮寫 DCA,也作 Discrete choice model,即“離散選擇模型”)屬於多重變數分析的方法之一,是社會學、生物統計學、數量心理學、市場行銷等統計實證分析的常用方法。
離散選擇法的目標是通過(特定個體的或者特定類別的)協變數解釋所觀察到的在離散對象中進行的抉擇。
臨界值模型的假設
個體行為能夠通過一個不可觀察的(隱藏)變數y來調控
y線性依賴於協變數
二元變數假定依賴於y的水平
不可觀察的臨界值c在識別基礎o.B.d.A上設為0
分布函式F(·)是邏輯常態分配或者常態分配
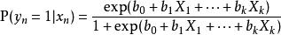
離散選擇法Logit模型:
隨機效用模型的假設
•存在r≥2個未排序的對象,在其中個體中於該時點選出一個
•每個對象有自己的效用
•效用不能完整的觀察,
套用領域舉例
•與一組實行安慰劑治療的對照組(Control group)進行比較,看治療方法是否成功
•解釋婦女的工作行為
•選擇某一專業學習
•在一攬子商品中對某一商品的購買決策
•情景條件下的市場份額建模
•根據“回憶者”(表現出來)的特徵衡量廣告活動的成功
•解釋顧客價值概念(分類模型)
•顧客滿意度研究(分類模型)
多變數統計分析
多變數統計分析( Multivariate Statistical Analysis),又稱 多元統計分析,簡稱 多變數分析,為統計學的一支,常用於管理科學、社會科學和生命科學等領域中。多變數分析主要用於分析擁有多個變數的資料,探討資料彼此之間的關聯性或是釐清資料的結構,而有別於傳統統計方法所著重的參數估計以及假設檢定。由於多變數分析方法需要複雜且大量的計算,因此多藉助電腦來進行運算,常用的統計套裝軟體有SAS、SPSS、Statistica等。
常見分析方法
•主成分分析(Principal Component Analysis, PCA)
•因素分析(Factor Analysis)
•判別分析(Discriminant Analysis)
•聚類分析(Cluster Analysis)
•典型相關分析(Canonical Correlation Analysis, CCA)
•結構方程式模式(Structural Equation Model, SEM)
•線性結構相關模式(Linear Structure Relation, LISREL)- 為SEM成員
