不確定性經濟學形成與發展
不確定性經濟學在確定條件下的理性決策原則是很容易理解和說明的,例如,經濟學教科書中描述的消費者的效用最大化,以及廠商的利潤最大化。但是,一般而言,人們在現實生活中的決策是在不確定性的條件下做出的。在不確定性條件下的決策原則是什麼?這是一個更為一般性的問題。對此,經濟學的認識大致可以劃分為三個階段:
第一個階段是數學期望值最大化原則。貝努里的實驗證明了這個原則套用於經濟行為是有問題的。希克斯等人也對這個決策原則的合理性進行了爭論並提出了一些觀點。這些爭論直接導致了後續的主觀期望效用理論的形成。在經濟學領域,門格爾、費雪和埃奇沃斯都曾經指出風險和不確定性將深刻地改變整個經濟學的體系和內容。奈特最早論述了風險和不確定性概念對經濟研究的重要性,對這兩個概念進行了定義。希克斯、凱恩斯、斯蒂格勒、哈特等經濟學家開始用風險和不確定性解釋利潤、投資決策企業結構等問題。
第二個階段是馮·諾伊曼和摩根斯頓(von Neumann & Morgenstem,1944)的期望效用最大化原則。這個理論被薩維奇(Savage,1954)以及Anseombe和Aumann(1963)完善為主觀期望效用理論。我們可以把這個理論稱為主觀期望效用理論或簡稱為SEU理論。同時,作為主觀方法的另外一種的“狀態—偏好”方法也由阿羅(1953)和德布魯(1959)提出。這些理論為後續的發展提供了理論上的出發點。
第三個階段是以一般期望效用理論的發展為標誌。這一階段發展的緣由主要來自於經濟學家認識到SEU理論對現實的背離,例如著名的阿萊悖論和埃爾斯伯格悖論,以及依狀態(State-dependent)效用等。這些背離促使各種各樣的新理論陸續出現。這些新理論的一個共同之處是試圖擴展主觀期望效用理論的假設,建立更為一般化的理論。同時,將風險和不確定性用於對生產、消費、投資以及分配等各種經濟活動,以及對各種經濟組織結構的分析大量湧現。這些分析不僅深刻地改變著經濟學對現實的分析和解釋,同時也改變了經濟學自身。
總之,不確定性已經極大地改變了經濟學家看待世界的方法,成為推動經濟學不斷發展的一個十分活躍的增長點。
理論內容
不確定性經濟學這裡在薩維奇(1954)提出的“人與自然博弈”體系下簡要介紹SEU理論的基本內容。
決策者選擇的是行動(或者行動的過程),那么,如何描述行動(acts)?在Savage的理論中實際上用兩個基本概念——事件(events)和結果(Consequences)來描述行動。事件是世界的狀態(state of the world)的集合,世界實際上是決策者所面對的外部事物,一個狀態就是對世界的一個描述。結果實際上被薩維奇描述為對決策者具有價值的任何事情。一個行動被定義成一個由世界的狀態空間到結果空間的映射(function)。不同的行動就相當於不同的映射。所有可能的行動就構成了行動空間。我們可以記S為狀態空間,C為結果空間,A為行動空間。這樣,一個行動可以定義為C=a(s)。或者採用人與自然的博弈的方式,表述為C=f(a,S)。從狀態和結果之間關係的角度講,決策者選擇行動相當於在各種可能發生的事件上押賭結果,因此,一個行動相當於一種彩票。
經濟學分析的基本內容是人與自然的生存關係以及在這種關係中形成的人與人的關係。這兩種關係可以用人與自然的博弈(game with nature)以及人與人的博弈來描述。如上對行動的描述也相當於人與自然的博弈。決策者選擇行動(押賭),而自然選擇狀態,人與自然的選擇最終決定了決策者得到的結果。
主觀期望效用理論的主要結論(道德期望效用存在定理)是:在一定的假設(公理)條件下,在狀態空間上存在著惟一的機率分布(滿足機率公理),在結果空間上存在一個實值的效用函式(具有正線形變換性)。如果a>b,若且唯若u(a)>u(b)。其中,U(a)是行動a的期望效用,U(b)是行動b的期望效用。
此時,決策者可以通過期望效用最大化來做出理性的(Rational)選擇。在理論體系中,一般認為機率分布描述了世界狀態的不確定性,而效用函式描述了決策者的風險偏好。Amcombe和Aumann(1963)對機率的主觀性質進行了分析。Pratt(1964)、阿羅(1965)對效用函式中蘊涵的風險偏好性質進行了分析(絕對風險度量)。這樣,機率和效用將決定決策者對行動的偏好。期望效用存在定理是建立在一系列假設(公理)基礎上的。這些假設可以概括為三類,我們分別加以說明。
序假設:決策者的決策需要三種知識:關於世界狀態的知識,表現為對事件可能性(1ikelihood)的比較能力,即對狀態空間指派機率分布的能力;關於結果的知識,表現為對結果空間偏好(attractiveness)的比較能力,即對結果空間指派效用的能力;關於選擇對象的知識,表現為對行動空間偏好(preference)的比較能力,即對行動空間建立序關係的能力。需要指出的是,這些知識具有這樣的邏輯特徵,首先,這些序關係的知識都具有完全性(complete)和傳遞性(transitive)。其次,這些知識之間具有相互推理的邏輯關係。關於行動的序關係可以用機率分布和效用函式推導出來。這個理論被稱為是主觀期望效用理論的一個基本原因是指其機率分布也可以由行動的偏好導出,由此可以給予機率一種效用的解釋而非古典機率理論頻率的解釋(Anscombe & Aumann.1963)。需要指出的是,這種認知能力實際上正是笛卡爾所強調的理性。這種理性可以解釋為人的良知,在這裡就是決策者分辨真(世界狀態的可能性)、善(行動的序關係)、美(支付的效用)的能力。
獨立性假設:決策者的行動偏好可以由機率分布和效用函式決定,那么,決策者指派狀態空間機率以及結果空間效用的理由(Reason)是什麼?獨立性假設表明決策者指派機率的理由就在客觀世界本身,與決策者關於結果的偏好無關;指派支付偏好的理由也就在決策者的主觀世界本身,與客觀世界發生什麼事情無關。需要指出的是,獨立性假設實際上表明主觀世界和客觀世界是分離的,這仍然是笛卡爾的觀點。獨立性假設也是關於理性問題的一個假設,這裡的理性問題是古典哲學所討論的主體和客體存在理由的相互關係問題。
空間假設:一個理論總是在一個空間的觀念體系中描述所要描述的事物,例如德布魯的一般均衡論就是在商品空間中描述經濟行為。SEU理論實際上假設了決策者的空間觀念已經窮盡了所有的可能性,例如狀態空間窮盡了世界所有可能的狀態等。進一步,決策者的選擇對象實際上是彩票,SEU理論假設彩票空間具有一定的連續性(例如機率是連續的)和凸性(兩個彩票的複合而成的彩票仍然屬於彩票空間),連續性假設和凸假設實際上是對空間性質的判定,即關於事物異質性和同質性性質的判定。需要指出的是,從哲學的角度講,空間假設屬於理念或者觀念問題,同樣也是古典哲學中的基本問題。
總之,主觀期望效用理論表述了決策者理性的(Rationa1)的決策原則(具有期望效用的形式)和人的認知能力(1e bon sens)、主客觀世界之間的相互獨立性以及決策者表達主觀世界、客觀世界以及選擇對象的觀念(空間)性質之間的聯繫,這種聯繫構成了客觀世界(狀態空間)、主觀世界(結果空間)、以及行動空間之間的一種完備的、無矛盾並且是最佳化的邏輯體系。我們稱生活在這樣的邏輯體系中的決策者具有完全理性(Complete Rationa1)。必須指出的是,我們說決策者具有完全理性並不是指決策者具有做出任何意義上的最優決策的完全信息,這是對完全理性一個十分通常的誤解。實際上,不確定條件下的決策在一定意義上就是不完全信息條件下的決策,從信息的角度講,說決策者具有完全理性是指決策者的決策在一定層次上具有超越任何具體經驗信息(知識)的“一般性”或者“萬能性”(Onmipotence)。了解完全理性的這種性質對了解不確定經濟學的現代發展十分重要。
不確定性經濟學首先,我們從策略選擇說明完全理性的時間性質。決策者不僅選擇行動,實際上需要選擇關於行動的策略,也就是在各種可能關於世界狀態信息條件下的行動完整的計畫。在人與自然的動態博弈過程中,決策者可以使用逆向歸納法在決策的第一階段選擇以後所有階段的都可以執行的最優策略。決策者的這種能力也可以稱為策略理性(Strategic Rationality)。因此,事後觀測到的經驗信息(知識)對行動的選擇是有價值的,但是對策略選擇並無價值。這樣,從行動的層面上講,人對行動的選擇具有時間特徵,能夠在明天做出的選擇就沒有必要今天做出。但是,從策略的層面上講,人對策略的選擇不具時間特徵,完全理性的決策者可以在現在就做出直到未來的一系列依狀態信息決定的行動計畫,並且隨著時間的推移,計畫無須改變。獨立性假設實際上還意味著,世界狀態過程的發生順序都是無所謂的。
其次,我們說明完全理性的空間性質,哪些決策者在哪些問題上在何種情況下可以使用SEU的決策原則?在任何情況下,任何決策者在任何決策問題上都可以使用期望效用理論的原則。因此,SEU的決策原則具有無時不能、無處不在,超越一切時間與空間的性質,或者具有超越一切經驗的性質。這個決策原則可以說是一種絕對的、終極的原則,在這個原則下決策者“按照最充分的理由完美地行動”,因此也就達到了萊布尼茲所說的神聖的“最高自由”。SEU決策原則的這種性質可以說是一種絕對的一般性,也可以說是一種萬能性。必須指出的是,這種完全理性的決策性質正是新古典經濟學行為分析最本質的理論基礎,也是一些經濟學家試圖說明他們所構建的經濟學原理具有超越個人、民族、歷史與國界一般性的一個基本原因。
二、一般期望效用理論
顯然,現實生活中的人不是如上所描述的完全理性的人。西蒙指出人的認知能力是有限的,由此提出了有限理性(bounded rationality)的概念。不確定性經濟學的現代發展更為具體和全面地擴展了我們對SEU理論局限性的認識。
首先,不確定經濟學對SEU理論局限性的認識大致起源於兩個方面,一個方面是由阿萊悖論和埃爾斯伯格悖論引發的各種實驗說明存在著對SEU理論中效用函式(風險偏好)和機率性質(不確定性)背離以及多種新理論的建立。例如前景理論(Kahnneman & Tversky,1979)、遺憾理論(Loomes & Sugden。1982)等。另一個方面是依狀態的效用偏好和道德風險問題引發的對SEU理論的質疑以及新理論的建立,這個方面的工作以DIi 的工作為代表。這些理論主要有加權的期望效用理論(如Allais,1979;Chew & McCrimmon,1979;Fishbum,1983)、非線性的期望效用理論(如Machina,1982)、Dreze(1987)引入的包含道德風險和依狀態偏好時的期望效用理論、依序期望效用理論(Rank—dependent Expected Utility,Quiggin,1982;Yaari,1987)、非可加期望效用理論(Non—additive Expected Utility,Shackle,1949)等。
其次,主觀期望效用理論不再成立的一個重要的意義在於,在多階段的動態決策的性質將不同於SEU理論,可能更加具有有限理性的特徵。例如逆向歸納的方式不一定適用,貝葉斯決策方式不一定適用等,決策將變得更加具有經驗性和時間性。
再次,在動態決策中,SEU決策原則未必能夠處處保持一致。Dreze(1972)開創了動態決策中效用導出性分析的方法,Kreps & Porteus(1979)顯示決策者在消費決策上可以是SEU的,但是在由消費決策導致的財富決策就未必是SEU的。
不確定性經濟學標準理論和現實的背離激勵著經濟學家們正在構建大量新的理論。這些新的理論試圖對標準理論進行擴展,建立對現實更具分析和解釋力的理論,因此,也被稱為一般化的期望效用理論(但是,這並不一定意味著決策原則必然具有期望效用的形式)。經濟學家在構建這些新理論的時候,必然涉及到對主觀期望效用理論的三類假設的進一步認識。這三類假設不僅涉及到經濟學的一些根本性的問題,實際上也涉及到科學中更為深刻的、也更為一般性的問題。正如Hey(1997)所說,對不確定性的分析不僅僅是技術性的,同時也是哲學性的。
三、狀態—偏好和風險厭惡
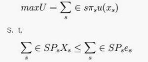
除圍繞機率和期望效用理論的討論之外,不確定性下的決策的重要方法還包括“狀態—偏好”方法(State—Preference)以及風險厭惡(Risk—Aversion)理論。這三種方法在一定意義上有某些相似性。不確定性下的狀態偏好方法由阿羅(1953)提出,德布魯(1959)進行了進一步的闡述。因為Hirsh—leifer(1965,1966)將其套用於投資理論,Radner等人將其運用於金融理論和一般均衡理論而聲名鵲起。狀態偏好方法的主要原理是通過恰當地改變商品空間結構而將不確定性下的決策問題轉化為常規的選擇問題。這不同於期望效用法則,不需要任何(主觀)機率,而是將偏好建立在狀態依存的商品組合之上。狀態一偏好方法認為,商品的差異不僅在於其物理特徵和時間、空間所在,而且在於其所處的“狀態”。例如,下雨狀態時的冰淇淋和天晴時的冰淇淋是不同的,對消費者來說會要求不同的價格。因此,13種商品,s類自然狀態,則商品有ns種價格,商品空間是Rns的子集。相對於主觀期望效用理論而言,經濟中的決策者面對這樣的最佳化問題:
其中,Xs代表狀態s下的商品組合(xls,x2s,...,xns),es代表初始的稟賦向量。通過拉格朗日方法可以求得最佳化條件及風險承擔基本定理。
風險厭惡理論由弗里德曼和薩維奇(Friedman & Savage,1948)提出,Markowitz(1952)對此進行了分析。Pratt(1964)和阿羅(1965)討論了對風險偏好的度量,後來Ross(1981)對此作了改進。弗里德曼和薩維奇(1948)試圖以風險厭惡的概念來解釋人們為什麼進行小機率大收益的賭博(買彩券)的同時,又會購買某些保險。他們用期望效用函式的形狀變化解釋這似乎的悖論。Pratt(1964)和阿羅(1965)則對風險厭惡作了這樣的度量定理:>U比>v具有更強的風險厭惡如果對於所有的,有。其中U:R→R和v:R→R是偏好在M上的兩個基本的效用函式。他們還對這樣的度量方式進行了證明。
對現實的分析和解釋
不確定性經濟學首先,在交易的過程中必然存在著信息的交流。信息交流的本質是對不確定性和風險的處理。處理不確定性和風險同樣是經濟活動的目的。例如,一個病人到醫院看醫生,病人不知道自己為什麼會不舒服,也不知道該如何處理,此時,他是不確定性的供給者;而醫生則可以解決這個問題,此時,醫生是不確定性的需求者。從信息的角度講,病人是信息的需求者,醫生是信息的供給者。進一步,一些不確定性可能是這個社會的任何專家都無法解決的,例如一個人的壽命,這個時候,就需要通過一種組織技術來加以解決,例如通過保險公司來分散個人的風險。這樣,建立在交易基礎上的經濟活動的本質也可以看成是通過信息的交流來解決不確定性以及風險問題。這是現代經濟學描述和分析經濟活動的一個重要的方法。
其次,交易中需要貨幣。在新古典經濟學中,貨幣本身就是信息交流的工具,但是對貨幣的功能以及所表示的信息內容的認識較為狹隘,例如認為貨幣的主要功能是表示價格,而價格反映了資源相對於偏好的稀缺性,這是建立在瓦爾拉斯體系上的認識。但是,我們知道信用是貨幣的基本職能,與不確定性以及風險有著本質的聯繫。如果我們在薩維奇體系上來認識價格時,就可以從機率測度和效用測度來認識貨幣所表示的價格的意義。不確定性經濟學為分析價格所包含的豐富內容提供了新的分析出發點。
再次,市場參與人可以利用市場來處理不確定性和風險(阿羅一德布魯)。但是,市場(完全競爭的交易)處理不確定性和風險的能力是不完全的,例如經濟社會很難構造一個完全複製所有依狀態要求權的完美的資產市場。因此市場參與人還需要通過一些非市場特徵組織(不完全競爭的交易)來處理不確定性和風險,例如家庭和企業這些非市場特徵的經濟組織。不確定性以及風險為分析經濟社會的多樣化的組織方式提供了一個出發點。
最後,在人與自然的博弈中,消除風險(或者說得到確定的結果)一直是人類努力實現的目標。社會通過構建各種組織與制度來力圖做到這一點。但是,人類努力的結果是使得人類生活在一個風險更少的社會中還是一個風險更大的社會中?當人類試圖規避風險時,是否踏上了一條悲劇之路一他將面臨著更大的風險?這是我們需要認真思考的問題。思考這個問題的意義正如熊彼特所言,預言船會沉沒的人並不是真正的悲觀主義者,而相信這個預言的人才是真正的悲觀主義者。

