基本概念
離散信號
離散系統離散信號,即離散時間信號,和連續時間信號並列為兩種基本信號類型,是定義在離散時刻點的信號,或者說是自變數僅取在一組離散值上的信號。
離散系統
離散系統,即離散時間系統,是將離散時間輸入信號變換為離散時間輸出信號的系統,對於控制系統來說,有一處或幾處信號是一串脈衝或數碼的控制系統是離散系統。採樣和量化是離散系統中十分重要的兩個信號處理過程。
Z變換
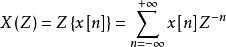
Z變換(z-transformation)可將時域信號(即:離散時間序列)變換為在復頻域的表達式;是處理離散時間信號的重要工具和途徑。典型的雙邊Z變換公式如下所示:
離散系統
離散系統其中 ,是復變數。
分類
通常,可根據離散信號的形式來對離散系統進行分類 。
採樣控制系統
離散系統採樣控制系統,或稱脈衝控制系統,是指信號形式為脈衝序列的離散系統。
一般來說,採樣系統是對來自感測器的連續信息在某些規定的時間瞬間取值。如果在有規律的時間間隔下取值,這個時間間隔就稱為採樣周期,這種採樣稱為周期採樣;否則為非周期採樣,或稱隨機採樣。
數字控制系統
數字控制系統,或稱計算機控制系統,是指信號形式為數字序列的離散系統。
通常來說,數字控制系統是一種以數字計算機為控制器去控制具有連續工作狀態的被控對象的閉環控制系統。
特點
1)優越性:數字校正的效果好於連續校正;
2)靈活性:軟體實現的控制律更加靈活;
3)抗干擾:使用採樣信號或數位訊號的形式易於抑制噪音;
4)精度高:可以採用高敏感度的控制元件提高控制精度;
5)高效性:計算機可分時控制多個系統,效率更高;
6)經濟性:數字控制系統的復現性更好,收益更高,成本更低;
7)抗延遲:對於高延遲系統,可通過採樣減輕延遲的擾動。
研究方法
由於離散系統中存在離散信號,連續系統中的拉式變換不總是適用於離散系統,有可能出現復變數s的超越函式(實際問題經常簡化為線性系統,此時對線性時不變系統而言不會出現超越函式),因此使用z變換法建立離散系統的數學模型 。
在現代控制理論中,通常使用狀態空間的概念來描述離散系統。

