傅立葉變換離子迴旋共振質譜法
傅立葉變換離子迴旋共振質譜法也稱作傅立葉變換質譜分析,這是一種根據給定磁場中的離子迴旋頻率來測量離子質荷比(m/z)的質譜分析方法。
彭寧阱(PenningTrap)中的離子被垂直於磁場的震盪電場激發出一個更大的迴旋半徑,這種激發作用同時也會導致離子的同相移動(形成離子束)。當迴旋的離子束接近一對捕集板時,捕集板上會檢測到影像電流信號。這種信號被稱為自由感應衰減(FDI),是一種由許多重疊的正弦波組成的瞬態或干涉圖。通過傅立葉變換,我們可以從這些信號數據中萃取出有用的信號形成質譜。
傅立葉變換離子迴旋共振質譜法(FTICR-MS)具有非常高的析像能力,可以十分精確地測定物質。因此對於FTICR-MS的使用主要是利用它的高解析度檢測分子組成。這一檢測的理論前提是元素在這一過程中會發生質量虧損。此外,FTICR-MS通常也被用來研究複雜的混合物。這是由於它所產生的分析圖像具有較窄的峰寬,能夠將兩個質量相近的離子返回的信號(質荷比m/z)區分開來。
利用電噴射離子化作用產生的大量電荷,這種高解析度同樣也可以套用於蛋白質等高分子研究中。這些大分子中包含的同位素分布能夠產生一系列同位素峰,由於這些同位素峰在質荷比坐標軸上十分接近,因此我們就要用到FTICR所具有的高解析分辨能力,結合大量電荷噴射來對其進行觀察研究。
FTICR-MS與其他質譜分析儀器最大的不同點在於,它不是用離子去撞擊一個類似電子倍增器的感應裝置,只是讓離子從感應板附近經過。而且對於物質的測定也不像其他技術手段一樣利用時空法,而是根據頻率來進行測量。利用象限儀(sectorinstruments)檢測時,不同的離子會在不同的地方被檢測出來;利用飛行時間法(time-of-flight)檢測時,不同的離子會在不同的時間被檢測出來;而利用FTICR-MS檢測時,離子會在給定的時空條件下被同時檢測出來。
FTICR是由英屬哥倫比亞大學(UniversityofBritishColumbia)的AlanG.Marshall和MelvinB.Comisarow二位學者發明的。首篇相關論文發表於1974年的《化學物理學》雜誌。這一發明的靈感來源於傳統的離子迴旋共振(ICR)和傅立葉核磁共振(FT-NMR)波譜學。AlanG.Marshall隨後在俄亥俄州立大學、佛羅里達州立大學繼續豐富和發展了這項技術。
相關理論
FT-ICR與回旋加速器(cyclotron)的物理學原理十分相似,
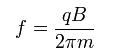
離子迴旋共振法在最簡單的理想狀態下,迴旋頻率和質荷比之間的關係可以用如下的公式來表示:
離子迴旋共振法ωc=迴旋頻率(一般測量角頻率)z=離子電荷B=磁場強度m=離子質量
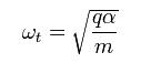
由於在實際套用中我們用了一個四極的電場把離子限制在軸向中,這種誘捕裝置會使離子產生震動,從而影響到其(角)頻率:
離子迴旋共振法α是一個常量(和諧振裝置的剛度常數類似),是由電壓、誘捕阱尺寸及其幾何構造共同決定的。
電場及其造成的軸向諧振運動在減弱迴旋頻率的同時,其磁控管頻率催生了另外一種被稱為磁控運動的軸向運動。儘管在計算中仍然使用迴旋運動的頻率來表示,但實際上這一頻率並不完全是由迴旋現象本身決定的,真正的的角頻率應當是這樣的:
(圖)離子迴旋共振法ωt是誘捕行為產生的軸向諧振頻率,ω+是被減弱了的迴旋角頻率,ω–是由磁控管影響產生的角頻率。ω+一般是我們使用FT-ICR時測量得到的值當我們假設ωt非常小的時候,這個公式就不難理解了,事實上也確實如此。在這種情況下,ωt的根基值略小於ωc/2,ω+的值略小於ωc(迴旋頻率被略微降低了)。ω–的情況也一樣(其根基值略小於ωc/2),並且ωc/2減去ω–的值與ωc減去ω+的值相等。這個差值正是迴旋頻率被減掉的精確值。
ICR結構類型
ICR結構可以分為以下兩種:
封閉式
儘管各種封閉式ICR單元在幾何構造上有些差異,不過它們都擁有一些共同的特點:柵格電極被設定在兩端用來提供電場,誘捕離子,使離子沿軸向運動(平行於磁力線)。離子即可以由內部產生(使用電子碰撞電離);也可以由外部離子源噴射(比如使用電噴射或者MALDI)。嵌套的ICR單元擁有兩對柵格電極,可以同時誘捕陰離子和陽離子。
開放式
最常見的幾何形狀是圓柱形,沿軸的方向分割成幾個不同的部分,用來提供不同的環狀電極。中央環電極一般用來提供放射狀勵磁電場(用來激發離子,具體說明請點擊)以及用來偵測。終端的環電極則通直流電,用來誘捕離子沿磁力線運動。現在已經有了多種環電極直徑各異的ICR單元(產品種類很豐富=,=)。它們不僅能夠同時誘捕偵測陰離子與陽離子,而且可以將這兩種離子以放射狀區分開來,這就為我們研究陰陽兩種離子的離子加速動力學提供了十分便利的觀察條件。事實上,一些為研究離子間碰撞而準備的離子軸向加速方案最近已經出現了。
