定義
設雙曲線的兩個焦點分別為F1,F2,它們之間的距離為2c,雙曲線上任意一點到F1,F2的距離差為2a(a<c)。
以F1,F2所在直線為x軸,線段F1F2的垂直平分線為y軸,建立直角坐標系xOy,則F1,F2的坐標分別為(-c,0),(c,0)。
參數方程為
雙曲線的參數方程
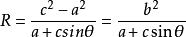
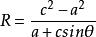
雙曲線的參數方程a為雙曲線實軸的一半,b為雙曲線虛軸的一半,c為焦距的一半;R為雙曲線上的點P(x,y)到焦點(c,0)的距離和雙曲線 上的點P(x,y)到焦點(-c,0)的距離,θ為雙曲線上點P(x,y)與焦點(c,0)的連線與y軸夾角,ф為雙曲線上點P(x,y)與焦點(-c,0)的連線與x軸夾角。
證明
推導得:
雙曲線的參數方程
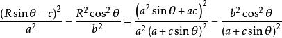
雙曲線的參數方程(1)的平方加(2)的平方
雙曲線的參數方程
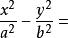
雙曲線的參數方程化簡得
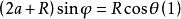
雙曲線的參數方程證明:將任意一點P的坐標(Rsinθ-c,Rcosθ)代入方程
雙曲線的參數方程
雙曲線的參數方程說明P點是雙曲線標準方程上的一點。

