基本介紹
焦參數是圓錐曲線的重要參數,正焦弦長的一半稱為焦點參數,簡稱焦參數,記為p,它等於焦點到相應的準線的距離與離心率e的乘積 。
橢圓的焦參數
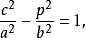
橢圓的焦參數是指從焦點所引垂直於長軸直到與橢圓相交的線段的長度,我們用p表示它,顯然,p等於橢圓上落在焦點上側的點的縱坐標,這個點的橫坐標等於c,用這些數目代入橢圓方程
焦參數
焦參數
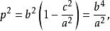
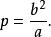
焦參數我們就得到決定焦參數的方程,於是套用我們有
焦參數或者
焦參數拋物線的焦參數
從焦點引出拋物線對稱軸的垂直線直到與拋物線相交,所得到的這個線段的長度叫作拋物線的焦參數,要計算它需要在方程
焦參數
焦參數
焦參數
焦參數里用焦點的橫坐標代替x,我們得到,由此推出,拋物線的焦參數等於p,也就是與拋物線的參數相同 。
雙曲線的焦參數
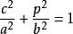
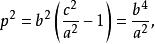
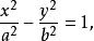
像在橢圓的情形一樣,雙曲線的焦參數是指從焦點所引出的垂直於x軸(也就是實對稱軸)直到與雙曲線相交的線段的長度,它用p來表示,顯然,p等於雙曲線上落在焦點上側的點的縱坐標。這個點的橫坐標等於c,用這些數值代入雙曲線的方程
焦參數我們就得到決定焦參數的方程
焦參數
焦參數再套用,由此就得到:
焦參數或者像橢圓的情形一樣
焦參數
