定義
雙曲擴展
雙曲擴展
雙曲擴展
雙曲擴展
雙曲擴展
雙曲擴展
雙曲擴展共同性質
雙曲擴展
雙曲擴展
雙曲擴展定義域:R。值域:R。奇函式。函式圖像為過原點並且穿越Ⅰ,Ⅲ象限的嚴格單調遞增函式,當時是的等價無窮大。函式圖像關於原點對稱。
雙曲擴展
雙曲擴展
雙曲擴展
雙曲擴展
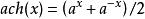
雙曲擴展定義域:R。值域:。偶函式。函式圖像是懸鏈線,最低點是,在Ⅰ象限部分是嚴格單調遞增曲線,當時是的等價無窮大.函式圖像關於y軸對稱。
雙曲擴展
雙曲擴展
雙曲擴展
雙曲擴展
雙曲擴展定義域:R。值域:。奇函式。函式圖像為過原點並且穿越Ⅰ,Ⅲ象限的嚴格單調遞增曲線。其圖像被限制在兩漸近線和之間。
雙曲擴展
雙曲擴展
雙曲擴展
雙曲擴展
雙曲擴展
雙曲擴展
雙曲擴展
雙曲擴展
雙曲擴展定義域:。值域:。奇函式.函式圖像分為兩支,分別在Ⅰ,Ⅲ象限,函式在和分別單調遞減.垂直漸近線為軸,兩水平漸近線為和。
雙曲擴展
雙曲擴展
雙曲擴展
雙曲擴展
雙曲擴展
雙曲擴展定義域:R。值域:。偶函式。最高點是,函式在嚴格單調遞減。軸是其漸近線。。
雙曲擴展
雙曲擴展
雙曲擴展
雙曲擴展
雙曲擴展
雙曲擴展
雙曲擴展定義域:。值域:。奇函式.函式圖像分為兩支,分別在Ⅰ,Ⅲ象限,函式在和分別單調遞減.垂直漸近線為軸,兩水平漸近線為x軸。。
圖像恆等式
雙曲擴展
雙曲擴展
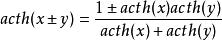
雙曲擴展公式
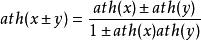
加減法公式
雙曲擴展
雙曲擴展
雙曲擴展
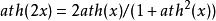
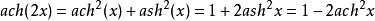
雙曲擴展二倍角公式
雙曲擴展
雙曲擴展
雙曲擴展
雙曲擴展德·莫佛公式
雙曲擴展三倍角公式
雙曲擴展有關函式
反雙曲拓展函式
反雙曲拓展函式是雙曲拓展函式的反函式。它們的定義為:
雙曲擴展
雙曲擴展
雙曲擴展
雙曲擴展
雙曲擴展其中,{{來源請求}}
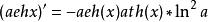
導數
雙曲擴展
雙曲擴展
雙曲擴展
雙曲擴展
雙曲擴展
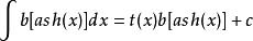
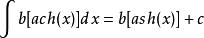
雙曲擴展不定積分
雙曲擴展
雙曲擴展
雙曲擴展
雙曲擴展
雙曲擴展
雙曲擴展
雙曲擴展
雙曲擴展(t(x)=1,x>0,0,x=0,-1,x<0) {{來源請求}}
轉換
換雙曲拓展函式
我們把函式
雙曲擴展
雙曲擴展
雙曲擴展
雙曲擴展
雙曲擴展
雙曲擴展稱為換雙曲拓展函式。{{來源請求}}
誤區警示
雙曲擴展
雙曲擴展
雙曲擴展
雙曲擴展
雙曲擴展(1)。在雙曲拓展函式中,是自變數,是常數;在換雙曲拓展函式中,是自變數,是常數。不可弄混

