簡介
當一束光波投射到晶體界面上,一般會產生兩束折射光束,這種現象稱為雙折射。由於晶體材料各向異性,這兩束折射光線的夾角大小與光波的傳播方向以及偏振狀態有關。產生雙折射現象的晶體叫做雙折射晶體。雙折射晶體的作用類似於兩個透振方向互相垂直的起偏器。
分類
雙折射晶體分為單軸晶體和雙軸晶體,從晶體結構上分析,稱為單軸晶的材料屬於三、四及六方晶系,可在其中的一個平面內找到2個或多個結晶學上等價的方向;另一類稱為雙軸晶體的材料屬於三斜、單斜或斜方晶系,沒有2個結晶學上等價的方向可供選擇。晶體的雙折射是電光功能材料的重要光學性能參數。
單軸晶體(Uniaxial)
定義
單軸晶體指的是只有一個光軸的晶體。其折射率橢球為旋轉橢球體。屬於四方晶系、三方晶系和六方晶系的晶體都是光學單軸晶體。如:方解石(Calcite)、石英(Quartz)。
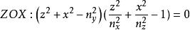
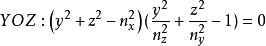
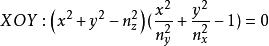
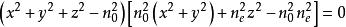
雙折射晶體折射率方程為:
雙折射晶體當光線穿過某些晶體(如方解石、鈮酸鋰、鉭酸鋰等)時,會折射成兩束光。其中一束符合一般折射定律稱之為尋常光(簡稱o光),折射率以n表示;而另一束的折射率隨入射角不同而改變,稱為非常光(簡稱e光),折射率以n表示。一般講晶體中總有一個或二個方向,當光在晶體中沿此方向傳播時,不發生雙折射現象,把這個方向叫做晶體的光軸方向。只有一個光軸的稱為單軸晶體,有兩個光軸方向的稱為雙軸晶體。由晶體光軸和光線所決定的平面稱為晶體的主截面。實驗發現,o光和e光都是線偏振光,但它們的光矢量(一般指電場矢量E)的振動方向不同,o光的光矢量振動方向垂直於晶體的主截面,e光的光矢量振動方向平行於晶體的主截面。晶體的光軸在入射面內時,o光和e光的主截面重合,電光矢量的振動方向互相垂直。
物理性質
由電磁場理論已知,介電常數ε是表征介質電學特性的參量。由固體物理學知道,不同晶體的結構具有不同的空間對稱性,自然界中存在的晶體按其空間對稱性的不同,分為七大晶系:立方晶系;四方晶系;六方晶系;三方晶系;正方晶系;單斜晶系;三斜品系。由於它們的對稱性不同,所以在主軸坐標系中介電張量的獨立分量數目不同,各晶系的介電張量矩陣形式如表所示。由該表可見,三斜、單斜和正交晶系中,主介電係數ε1≠ε2≠ε3,這幾類晶體在光學上稱為雙軸晶體;三方、四方、六方晶系中,主介電係數ε1=ε2≠ε3,這幾類晶體在光學上稱為單軸品體;立方晶系在光學上是各向同性的,ε1=ε2=ε3。單軸晶體和雙軸晶體像石英,紅寶石,冰等晶體只有一個光軸方向,它們屬於單軸晶體。
雙軸晶體
定義
雙軸晶體具有兩個光軸的晶體,其折射率橢球為三軸橢球體。屬於三斜晶系、單斜晶系和正交晶系的晶體都是光學雙軸晶體。
雙折射晶體截面方程:
雙折射晶體
雙折射晶體
雙折射晶體光在晶體中傳播時,在不平行於光軸方向上,由於e光和o光傳播速度不同,而出現兩個不同折射率的光的像,這種現象叫做雙折射現象。雙折射現象有兩類,單軸晶體和雙軸晶體。像石英,紅寶石,冰等晶體只有一個光軸方向,它們叫做單軸晶體;像雲母,藍寶石,橄欖石,硫磺等一類晶體有兩個光軸方向,它們叫做雙軸晶體。
物理性質
雙軸晶體的三個主介電係數都不相等,即ε1≠ε2≠ε3,因而n1≠n2≠n3。通常主介電係數按ε1< ε2<ε3取值。這類晶體之所以叫雙軸晶體,是因為它有兩個光軸,當光沿該二光軸方向傳播時,其相應的二特許線偏振光波的傳播速度(或折射率)相等。由波法線菲涅耳方程式可以證明,雙軸晶體的兩個光軸都在x1Ox3平面內,並且與x3軸的夾角分別為β和-β。對於β小於45°的晶體,叫正雙軸晶體,β大於45°的晶體,叫負雙軸晶體。由這兩個光軸構成的平面叫光軸面。
由電磁場理論已知,介電常數ε是表征介質電學特性的參量。由固體物理學知道,不同晶體的結構具有不同的空間對稱性,自然界中存在的晶體按其空間對稱性的不同,分為七大晶系:立方晶系;四方晶系;六方晶系;三方晶系;正方晶系;單斜晶系;三斜晶系。由於它們的對稱性不同,所以在主軸坐標系中介電張量的獨立分量數目不同,各晶系的介電張量矩陣形式如表所示。由該表可見,三斜、單斜和正交晶系中,主介電係數ε1≠ε2≠ε3,這幾類晶體在光學上稱為雙軸晶體;三方、四方、六方晶系中,主介電係數ε1=ε2≠ε3,這幾類晶體在光學上稱為單軸品體;立方晶系在光學上是各向同性的,ε1=ε2=ε3。
光在晶體中的傳播方向
根據o光、e光的特點,利用惠更斯原理可作出o、e光在晶體中的傳播方向。
斜入射
以平行光束入射到負晶體上為例
(1)由於光軸在入射面內(此處是紙面),兩主截面重合,所以,兩光均在入射面內,O光光矢量垂直於入射面,e光光矢量平行於入射面。
(2)若光軸不在入射面內時,兩主截面不再重合,E點已不在入射面內,e光也不再不在入射面內。
(3)當入射方向與光軸平行時,e光將與入射線在法線同側。如圖所示。
雙折射晶體
雙折射晶體垂直入射
(1)光軸垂直於晶體表面且平行於入射面
o、e光速度相同,方向相同,不發生雙折射。
雙折射晶體(2)光軸平行於晶體表面且垂直於入射面
o、e光方向相同,但光速不同,直觀上不分開,要發生雙折射。
雙折射晶體(3)光軸平行於晶體表面且平行於入射面
o、e光方向相同,但速度不同,直觀上不分開,要發生雙折射。
雙折射晶體
