簡介
單參數假設檢驗問題
雙側檢驗(1)
雙側檢驗
雙側檢驗(2) 或 ,
雙側檢驗
雙側檢驗(3) 或
稱為雙側假設檢驗問題(two-sided hypothesis test problem)。
分類
雙側檢驗
雙側檢驗
雙側檢驗
雙側檢驗
雙側檢驗設樣本 服從單參數指數族分布(即機率密度滿足 形式,其中 為實參數 是 的嚴增函式)。
雙側檢驗
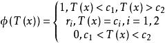
雙側檢驗(1)關於雙側假設檢驗問題 存在水平為 的 UMPU 檢驗,其檢驗函式為
雙側檢驗
雙側檢驗
雙側檢驗其中常數 和 由下式確定:
雙側檢驗
雙側檢驗
雙側檢驗
雙側檢驗
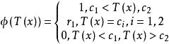
雙側檢驗(2)關於雙側假設檢驗問題 或 ,存在水平為 的 UMPU 檢驗,其檢驗函式為
雙側檢驗
雙側檢驗
雙側檢驗其中常數 和 由下式確定:
雙側檢驗
雙側檢驗
雙側檢驗
雙側檢驗
雙側檢驗(3)關於雙側假設問題 或 ,存在水平為 的 UMP 檢驗,其檢驗函式依賴於充分統計量 ,形如
雙側檢驗
雙側檢驗
雙側檢驗其中常數 和 由下式確定:
雙側檢驗套用
不能根據專業知識判斷兩種結果誰高誰低時,採用雙側檢驗。
如果檢驗的目的是檢驗抽樣的樣本統計量與假設參數的差數是否過大(無論是正方向還是負方向),就把風險平分在右側和左側。比如顯著性水平為0.05,即機率曲線左右兩側各占一半,即0.025。

