人物簡介
阿貝爾是挪威數學家。生於挪威西南海岸斯塔萬格附近的小島芬島(Finno¨y),卒於阿倫達爾(Arendal)附近的弗魯蘭(Froland)。父親是一個基督教牧師。阿貝爾幼年喪父,家境貧困,但他從小酷愛數學。16歲起自學當時的數學名著,中學時被譽為“數學迷”,得到教師霍爾姆博(Holmboe,B.M.)的賞識和資助。1821年以公費考入克里斯蒂安尼亞(Christiania)大學,1825年大學畢業後,獲得獎學金前往柏林和巴黎留學並謀職。在德國期間,他結識了克雷爾(Crelle,A.L.),他們共同創辦了《克雷爾數學雜誌》,並在前三卷上發表了22篇有關方程論、橢圓函式論和冪級數方面的著名論文,使《克雷爾數學雜誌》獲得很高的聲譽.在巴黎他又寫出一批重要論文。1827年回國,在克里斯蒂安尼亞大學任教,不久患肺結核,1829年被聘為柏林大學教授,但未到任即病逝,年僅27歲。
阿貝爾一生雖然短暫,卻在數學史上留下了光輝的一頁。自從16世紀三、四次方程得到解決之後,五次以上方程的根式求解問題吸引著眾多的科學家。200多年未能成功,這使人們悟到了它的不可能性,在拉格朗日(Lagrange,J.-L.)和魯菲尼(Ruffini,P.)之後,阿貝爾進一步嚴格地證明了一般五次方程不可能用根式求解,開闢了近世代數方程論的道路,採用了包括群論和方程的超越函式解法.1826年,他在《克雷爾數學雜誌》創刊號上發表了震動數學界的論文《論代數方程,證明一般五次方程的不可解性》。他還同德國數學家雅可比(Jacobi,C.G.J.)共同奠定了橢圓函式論的基礎,創立了數學的一個新分支。阿貝爾發現了橢圓函式的加法定理、雙周期性,引進了阿貝爾積分。此外,在交換群、二項級數的嚴格理論、級數求和等方面都有突破性貢獻,但可惜他的論文的價值沒有及時被學術界所認識。
施洛德函式方程
施洛德函式方程是一類函式方程。函式方程:
阿貝爾函式方程稱為施洛德函式方程,其中θ(x)是已知函式,c是常數。如果f(x)是一特解(f≠0),則其通解為f(x)=f(x)φ(x),其中φ(x)是φ(θ(x))=φ(x)的通解。假設存在點a使得θ(a)=a, 並且θ(x)和f(x)在點a的鄰域內可微,於是有f′(a)=0或θ′(a)=c。考查θ′(a)=c的情形,若θ(x)在x=a處二次可微,且|c|<1, 那么在x=a的鄰域中序列{(θ(x)-a)c}一致收斂,θ(x)=x,θ(x)=θ(θ(x))(n=1,2,…),它的極限f(x)就是方程(1)的一個解.如果|c|>1,則令θ(x)=u, 那么在u=a的鄰域f(θ(u))=cf(u),這就化為|c|<1的情形了。
方程介紹
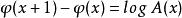
阿貝爾函式方程(Abel functional equation)是施洛德函式方程的一種變形。方程:
阿貝爾函式方程稱為阿貝爾函式方程。θ(x)也是已知函式。如果令exp f(x)=φ(x),則得到施洛德方程:
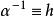
阿貝爾函式方程再考慮方程:
阿貝爾函式方程(A(x)是已知函式),如果令log f(x)=φ(x),則得如下差分方程:
阿貝爾函式方程解此差分方程即可得到原方程的解。
等效
上述這些方程式是等效的。假設α是可逆函式,則第二個方程可以寫成:
阿貝爾函式方程
阿貝爾函式方程將,上式可以重寫為:
阿貝爾函式方程
阿貝爾函式方程
阿貝爾函式方程假設f(x)函式已知,目標是用方程解函式方程,滿足初始條件。
阿貝爾函式方程
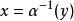
阿貝爾函式方程做如下變數替換:,對一個實參數S,將阿貝爾方程改寫為施洛德方程:。
阿貝爾函式方程
阿貝爾函式方程用做替換,將阿貝爾方程改寫為Böttcher方程:。
另外,阿貝爾方程是轉換方程的特殊情況:
阿貝爾函式方程
阿貝爾函式方程
阿貝爾函式方程例如對,
阿貝爾函式α(X)進一步證明了的移位運算元的正則坐標。
