基本介紹
開式模鍛示意圖開式模鍛具有模膛和飛邊兩部分。當上下模閉合時,一方面金屬流向模膛以充滿成形,另一方面多餘金屬流出模膛,成為飛邊,如圖所示。其流動過程的關鍵在於:當填充阻力小於流向飛邊的阻力時,則金屬流向模膛。某一時刻,填充阻力增大至大於流向飛邊的阻力,金屬便流向飛邊。由於隨著上模下移,飛邊減薄,流向飛邊的阻力增大,以至於大於充填阻力,金屬改向流入模膛,保證模膛完全充滿。
成形過程
開式模鍛金屬成形過程開式模鍛成形過程中金屬的流動過程大致可分為4個階段,如右圖所示。
(1)自由變形或鐓粗變形階段。坯料在這一階段屬於局部載入,整體受力,毛坯在模膛中受壓發生鐓粗變形,高度減小ΔH,徑向尺寸逐漸增大,直到毛坯與槽壁接觸為止,鐓粗所需的變形力不大。
(2)開始形成毛邊階段,在這一階段里,毛坯繼續受壓(壓下量ΔH)逐步充滿模膛形成少許毛邊。在此階段金屬有兩個流動的方向,金屬一方面充填模膛,一方面由模橋口處流出形成毛邊。這時由於模壁阻力,特別是毛邊橋口部分的阻力(當阻力足夠大時)作用,迫使金屬充滿模膛,金屬徑向流速減慢,所需變形力明顯增大。
(3)充滿模膛階段。毛邊形成後,隨著模鍛變形的繼續進行,壓下量(ΔH)的增大,毛邊逐漸減薄,寬度增大、溫度下降,金屬流人毛邊的阻力急劇增大,由於毛邊的阻礙作用,在變形金屬內部形成更強烈的三向壓應力,當這個壓應力大於金屬充填模膛深處和圓角處的阻力時,迫使金屬繼續流向模膛深處和圓角處,充填模膛內各稜角和肋條處,直到整個模膛完全充滿為止。
(4)鍛模完全閉合,擠出多餘金屬,鍛件最終成形階段。由於工藝因素的影響,通常坯料體積略大於模膛體積,因此當模膛充滿後,上、下模並未閉合,尚需繼續壓縮至上下模閉合,將多餘金屬完全排入飛邊槽,以保證鍛件高度尺寸符合圖紙要求。但要儘量縮短這一過程,因為此階段變形抗力急劇上升,這時的能量消耗占整個模鍛過程所消耗能量的30%~50%,因此,圖中的ΔH越小越好,對減小模鍛變形力至關重要。同時,這一階段對鍛件避免組織缺陷、提高鍛件質量和生產率均有很大影響。
應力應變分析
第Ⅰ階段
圖5-2—5-4開式模鍛的第Ⅰ階段是由開始模壓到金屬與模具側壁接觸為止,這個階 段的變形猶如孔板間鐓粗(在沒有孔腔時猶如自由鐓粗)。假設模孔無斜度,如圖5-2所示,該階段屬於局部載入,整體受力,整體變形。變形金屬可分為A、B兩區,A區為直接受力區,B區的受力主要是由A區的變形引起的。A區的受力情況猶如環形件鐓粗,故又可分為內外兩區,即A和A,其間有一個流動分界面。但這時由於B區金屬的存在使A區金屬向內流動的阻力增大,故與單純的環形件鐓粗相比,流動分界面的位置要向內移。B區內金屬的變形猶如在圓型砧內拔長。各區的應力應變情況如圖5-2所示。
各變形區金屬主要沿最大主應力增大的方向流動,如圖5-2中箭頭所示,即A區和B區金屬向內流動,流入模孔;A區金屬向外流動。在坯料內每一瞬間都有一個流動分界面,分界面的位置取決於兩個方向金屬流動阻力的大小。
第Ⅱ階段
在第Ⅱ階段,金屬也有兩個流動方向:一部分金屬充填模膛;另一部分金屬由橋口處流出形成飛邊,並逐漸減薄。這時由於模壁阻力,特別是飛邊橋口部分的阻力(當阻力足夠大時)作用,迫使金屬充滿模膛。由於這一階段金屬向兩個方向流動的阻力都很大,處於明顯的三向壓應力狀態,變形抗力迅速增大。
根據對第Ⅱ階段變形的應力應變分析,這一階段凹圓角充滿後變形金屬可分為五個區,如圖5-3所示。A區內金屬的變形猶如一般環形件鐓粗,A為外區,A為內區。B區內金屬的變形猶如在圓型砧內拔長。C區為彈性變形區,D區內金屬的變形猶如外徑受限制的環形件鐓粗。各區的應力應變簡圖和金屬流動方向如圖5-3所示。如果凹圓角未充滿,金屬的變形和分區情況還要更複雜一些。
第Ⅱ階段是鍛件成形的關鍵階段,研究鍛件的成形問題,主要研究第Ⅱ階段。
第Ⅲ階段
第Ⅲ階段主要是將多餘的金屬排入飛邊槽。此時流動分界面已不存在,變形僅發生在分模面附近的區域內,其他部位則處於彈性狀態。變形區的應力應變狀態與薄件鐓粗相同,如圖5-4所示。
此階段由於飛邊厚度進一步減薄和冷卻等原因,多餘金屬由橋口流出時的阻力很大,使變形抗力急劇增大。因此,第Ⅲ階段是模鍛變形力最大的階段。計算變形力時,按第Ⅲ階段計算。從減小模鍛所需的能量來看,希望第Ⅲ階段儘可能短些。
影響因素
開式模鍛時影響金屬成形的主要因素
從開式模鍛變形金屬流動過程可以看出,變形金屬的具體流動情況主要取決於各流動方向上阻力問的關係,此外,載荷性質(即沒備工作速度)等也有一定影響。殲式模鍛時影響金屬變形流動的主要因素有:模膛的結構、琶邊槽的尺寸和位置、坯料的形狀和尺寸、溫度不均引起的各部分金屬變形抗力的差異、設備工作速度等。
模膛結構
從模膛結構看,使金屬以鐓粗方式比以擠入方式更容易充填模膛。除此以外,模膛的阻力與下列因素有關:
(1)變形金屬與模壁的摩擦係數;
(2)模壁斜度;
(3)孔口圓角半徑:
(4)模膛的寬度與深度;
(5)模具溫度。
孔壁加工的表面光滑和潤滑較好時,摩擦阻力小,有利於金屬充滿模膛。
模膛製成一定的斜度是為了模鍛後鍛件易於從模膛內取出,但是模壁斜度對金屬充填模膛是不利的。因為金屬充填摸膛的過程實質上是一個變截面的擠壓過程,當模壁斜度愈大時,所需的擠壓力F也愈大。
模具孔口的圓角半徑R對金屬流動的影響很大,當R很小時,金屬質點要拐一個很大的角度再流入孔內,需消耗較多的能量,故不易充滿模膛,而且R很小時,還可能產生摺疊和切斷金屬纖維。同時此處溫度升高較快,模具容易被壓塌。R太大,則增加金屬消耗和機械加工量。總的看來,為保證鍛件質量,圓角半徑尺應適當。
模膛窄和深時,使金屬以擠入方式成形,金屬向孔內流動時的阻力增大,孔內金屬溫度窬易降低,充滿模膛困難。
模具溫度較低時,金屬流人孔部後,溫度很快降低,變形抗力增大,使充填模膛困難,尤其當孔口窄(小)時更為嚴重。
飛邊槽的影響
常見的飛邊槽形式如圖5-23所示。它包括橋口和倉部。橋口的主要作用足阻止金屬外流,迫使金屬充滿模膛;另外,它使飛邊厚度減溥,以便於切除。倉部的作用是容納多餘的金屬,以免金屬流到分模面上,影響上、下模打靠。
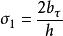
設汁飛邊槽主要是確定橋口的高度和寬度。橋口阻止金屬外流的作用是由於沿上、下接觸面摩擦阻力作用的結果。這一摩擦阻力的大小為2b,(沒摩擦力達最大值,等於τ)。由該摩擦力在橋口處引起的徑向壓應力(或稱橋口阻力)為:
圖5-23—5-24
開式模鍛即橋口阻力的大小與b和h有關。橋口愈寬,高度愈小,亦即b/h愈大,阻力愈大。
從保證金屬充滿模膛出發,希望橋口阻力大一些。但是若過大,變形抗力將會很大,可能造成上、下模不能打靠等問題。因此阻力的大小應取得適當,應當根據模膛充滿的難易程度來確定,當模膛較易充滿時,b/h取小一些,反之取大一些。如對鐓粗成形的鍛件[圖5-24(a)],因金屬容易充滿模膛,b/h應取小一些。時擠入成形的鍛件[圖5-24(b)],金屬較難充滿模膛,b/h應取大一些。
橋f二I部分的阻力除了與b/h有關外,還與飛邊部分的變形溫度有關。變形過程中,如果此處金屬的溫度降低很快,則此處金屬的變形抗力高,從而使橋口處的阻力增大。
設備工作速度
設備工作速度高時,金屬變形流動的速度也快。這將使摩擦係數有所降低;同時,金屬流動的慣性和變形熱效應等都有助於充填模膛。例如,在高速錘上模鍛時,由於變形金屬具有很高的流動速度,變形金屬容易充填模膛,可以鍛出厚度為1.0~1.5 mm的簿肋;相比而言,在模鍛錘上一般是1.5~2mm;而在壓力機上,則是2~4mm。

