定義
鑒相就是通過電路或者算法實現對兩路電路的相位差進行鑑別的方法。從總體上分,鑒相方法包括模擬鑒相方法和數字鑒相方法。
在《鑒相方法的分析與比較》一文中,介紹了干涉儀測向中模擬和數字兩種相位差測量方法,通過計算對這兩種鑒相方法進行了分析,最後對它們進行了比較分析。
鑒相技術
鑒相技術分為模擬鑒相技術和數字鑒相技術兩種。其中模擬鑒相技術又包括乘積型模擬鑒相技術、微波鑒相技術、基於FFT(快速傅立葉變換)的鑒相技術以及數字同步解調鑒相技術等。
模擬鑒相技術
1.乘積型鑒相技術。
它首先是把兩路信號相乘,然後將乘積結果通過低通濾波器,即得到關於兩路信號相位差的函式,以達到鑒相的目的。
由於套用該技術的乘積型鑒相器中含有濾波器,用在鎖相環中,利用鎖相環良好的跟蹤特性,可以在幾十兆赫茲的頻率上,實現幾十赫茲甚至幾赫茲的濾波,從而將混入輸入信號中的噪聲和干擾濾掉。模擬乘法器的輸出電壓隨輸入信號的振幅而變化,因此,作為鑑相器的增益受到振幅變化的影響,因而很少使用;但是輸入信號中包含噪聲等特殊的鎖相環電路中卻經常使用這種乘法模擬鑒相器。在一些情況下,乘積型模擬鑒相器還可以用作鑒頻器。
2.微波鑒相技術。
簡單的套用微波鑒相技術的微波鑒相器,由90°定向耦合器、平方律檢波器和差分放大器組成,首先將2路信號輸入耦合器進行耦合,然後分別輸入兩個平方律檢波器,再將結果進行差分放大。
微波鑒相器是瞬時測頻接收機、相位干涉儀測向接收機等的核心部件,在電子對抗偵查系統中發揮著重要作用,具有簡單、可靠性高的優點。微波鑒相,顧名思義是用於比較微波之間的相位差。微波鑒相還分為二極體單平衡微波鑒相和二極體雙平衡微波鑒相。這兩種鑒相方式也具有檢測微波功率的功能。然而,二極體雙平衡鑑相器的混頻器不宜工作在大信號狀態,即限定了它能測量的信號幅度上限。另外,通過多個微波鑒相組合成鑒相器組件,還可以實現測頻功能。微波鑒相相對輸入的射頻信號直接進行比相處理,受通道的高增益及寬動態要求,通道間相位一致性指標隨著頻率的升高會變得敏感、難以控制,其工作頻寬不宜過寬。
數字鑒相技術
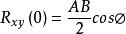
1.數字相關法鑒相技術。
相關法鑒相的基本原理如下:設有兩個信號,表達式分別為:
鑒相
鑒相
鑒相
鑒相
鑒相 其中: 為兩信號的相位差, , 為噪聲信號。兩信號的相關函式為:
鑒相
鑒相
鑒相 由於噪聲與信號不相關,而且噪聲之間也不相關,推出:
鑒相 則 。
鑒相
鑒相 由信號幅值和其自相關函式的零點之間的關係,可得: , 。
鑒相 所以, 。
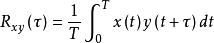
在實際算法中,相關算法的離散時間表達式為:
鑒相
鑒相
鑒相
鑒相 對於有限長度的採樣序列,只有當採樣長度為工頻周期的整數倍時,上式才能嚴格成立。但實際計算表明,在採樣長度接近工頻周期的整數倍時,經數字濾波後,採用相關法計算出相位角的準確性遠遠優於同等情況下用FFT算法的處理結果。當 時,隨機誤差的代數和為零。因此,由隨機噪聲產生的誤差可採用多次測量平均值的方法予以消除。同樣,套用該技術的相關鑒相器的精度也與採樣頻率有關,即採樣頻率越大,得出的誤差就越小。
在對介質損耗角進行帶電檢測時,採用FFT算法在窗長不等於被測信號周期或其倍數時,會出現“頻譜泄露”現象,使結果誤差較大。而用相關法鑒相技術就很好地解決了這一問題。
另外,此方法測量結果受A/D變換器速度的影響。相關法鑒相器適用於低頻信號,特別是對超低頻率信號的測量具有其他測量方法不可比擬的優點。這種方法已實際套用在某型號飛彈的自動測試系統中。它的抗干擾能力非常強。
2.數字同步解調法鑒相技術
鑒相
鑒相 數字同步解調鑒相技術類似於通信上的“同步解調”,對於同數字相關法相同的2路信號x(t),y(t)測量信號的同相信號SI(n)可選用發射信號x(t),正交信號SQ(n)將SI(n)循環移位1/4個周期即可獲得。y(t)分別與SQ(n),SI(n)相乘得同相支路 和正交支路 的各點相加,高頻分量各點之和均為0,得到:
鑒相 數字同步解調鑒相技術對頻率偏移非常敏感,測量誤差隨著頻率偏移的增大而增大,而在實際系統中,頻率很難完全穩定,通常都是不斷變化的。所以在實際套用中,這種方法很少用到。但是這不是絕對的,對此方法進行改進,採用混頻技術結合數字解調法來測量相位差,能取得高速高精度測量相位的場合會有很好地套用前景。
3.FFT鑒相技術
(1)基於FFT的普通鑑相技術
鑒相 頻域數字鑒相技術將離散信號進行傅立葉變換,其結果為複數,含有豐富的相位信息。對單一頻率的信號作FFT變換,當 時,功率譜中只有一條譜線(其中f為信號頻率,Vf為頻率解析度)。因此,對兩序列分別作傅立葉變換,分別選擇其幅度譜的第n根譜線,計算各自初相位,即可得到相位差。
FFT鑒相技術的精確度也可以達到很高,系統頻率解析度的精度會影響相位解析度的精度,適當得提高採集頻率可以提高鑒相相對精度。相對於一些模擬鑒相方法來說,基於FFT的數字鑒相技術具有高精度,體積小,速度快等優點。FFT鑒相技術被廣泛的運用在雷射測距、定位等領域。
(2)全相位FFT鑒相技術
鑒相
鑒相
鑒相
鑒相
鑒相 全相位FFT鑒相技術需要對數據序列進行如下 的預處理:對於長度為2N-1,中心樣點為x(0)的數據序列:x=[x(-N+1),…,x(0),…,x(N-1)],使用N 階對稱窗 和 卷積所得的2N-1卷積窗對其進行加權,然後將兩兩間隔為N的加權後數據相加,得到長度為N的數據序列:x=[ , ,…, ]。
對經預處理之後的數據序列進行傅立葉變換,測量第n根譜線的相位。
全相位FFT技術具有“相位不變性”,因此在不同步採樣情況下無需頻率校正措施即可直接提取信號的相位信息。它在多種因素影響下,仍能保持良好的鑒相性能,能夠實現無偏的相位差測量,在高速、高精度的相位式雷射測距系統中具有很高的適用意義。
鑒相器
鑒相器(phasedetector)是能夠鑑別出輸入信號的相差的器件,是使輸出電壓與兩個輸入信號之間的相位差有確定關係的電路。它是PLL,即鎖相環的重要組成部分。
分類
鑒相器通常可分為模擬鑒相器和數字型鑒相器。對於積體電路鑒相器,常用的電路有乘積型鑒相器和門電路鑒相器。
主要技術指標
鑒相器的主要技術指標有:鑒相特性曲線、鑒相靈敏度、線性鑒相範圍等。
鑒相特性曲線就是鑒相器輸出信號的電壓值與兩輸入信號的相位差之間的函式系曲線,有正弦型的餘弦型的、三角型的、鋸齒型等的。
鑒相靈敏度又稱為鑑相器的增益,是鑒相器的主要技術指標。它是鑒相特性曲線在某一點處的斜率值,單位用伏/弧度來表示。通常情況下,鑒相靈敏度越大,越有利於抑制相位噪聲和系統雜散的噪聲,起到穩定電路的作用。
線性鑒相範圍是表示當輸出的電壓與輸入的兩信號之間的相位差為線性關係時,鑒相器所允許的輸入兩信號相位差的最小值到最大值的區間。這時鑒相器的一個非常重要的技術指標。一般肯定是要求鑒相範圍越大越好,可以鑑別所有相位差,就不再是一個約束條件。一般數字算法鑒相的線性鑒相範圍較大,幾乎所有的相位差都能測。而數字電路鑒相電路的線性鑒相範圍就比較小,在這一點上性能相對較差。
用途
鑒相器廣泛套用於調頻信號的解調、鎖相技術、頻率合成技術和測量儀器中。它的作用是從輸入調相波ode相位信息中解調處原調製信號電壓,即實現對調相波的解調。

