鐘錶走時誤差
正文
鐘錶由於它振動系統的振動周期發生變化而在運行(走時)時產生的快慢變化。通常以日差值(見鐘錶日差)表示。鐘錶振動系統的振動周期受各種外部和內部因素的影響而變化,不同影響因素導致不同的走時誤差。各種走時誤差的綜合就構成了鐘錶走時誤差。鐘錶走時誤差的構成,對於機械式鐘錶,主要有等時性誤差、位置誤差和溫度誤差;對於石英電子鐘錶,主要有溫度誤差、因電池電壓下降和石英振盪器老化所引起的走時誤差。石英電子鐘錶的走時誤差通常比機械式的至少小一個數量級,即小10倍以上。等時性誤差 嚴格地說,任何鐘錶振動系統的振動周期都與振幅的大小有關,故振幅變化時將引起振動周期的變化。這種由於振幅變化所引起的走時誤差,在計時學中稱為振動系統的等時性誤差。鐘錶走時過程中,發條力矩、輪系傳動以及擒縱機構效率的穩定性決定振幅變化的程度和振動系統的等時性誤差,進而決定鐘錶的等時性誤差。鐘錶的等時性誤差通常通過測量瞬時日差來求取。在同一放置姿態下,鐘錶在滿條(上滿發條)時的瞬時日差與到達指定運行時間時的瞬時日差的差值,即為鐘錶的等時性誤差。根據計時學的理論,產生振動系統等時性誤差的根源主要在於振動系統工作時受非線性力矩(與振動系統位移不成正比的力矩)的干擾。而引起這種干擾力矩的因素通常有以下9項。
①擺輪組件的不平衡:擺輪遊絲調速組件是機械式鐘錶最常用的振動系統。由於受加工精度的限制,其中的擺輪組件很難獲得絕對平衡,因此其重心多不同程度地偏離擺輪的軸心線。當擺軸處於非鉛垂位置時,擺輪組件重心即產生相對於擺軸軸心的非線性干擾力矩。該力矩隨著擺輪遊絲調速組件的振動與擺輪角位移成正弦關係變化,並引起等時性誤差。在鐘錶生產中,通常都有專門的工序對擺輪組件進行平衡,以減少這種影響。對手錶而言,擺輪組件的不平衡所產生的力矩一般都控制在7µg·cm以內。
②遊絲重心:遊絲是擺輪遊絲調速組件的主要組成部分。它的外形通常為阿基米德螺鏇線狀。隨著調速組件的振動,遊絲各圈不斷地擴展與收縮,這時除因遊絲本身彈性所產生的力矩(稱為恢復力矩)外,遊絲重心也會產生一個相對於擺軸軸心的力矩。在遊絲擴展與收縮的過程中,遊絲重心將沿著一根形狀複雜的曲線運動。只要擺軸不是處於鉛垂位置,重心所產生的力矩對系統的振動必然發生干擾。由於重心的運動軌跡是一根複雜的曲線,因而它所產生的干擾力矩將是非線性的,這樣就引起了等時性誤差。
③快慢針:用於調節鐘錶快慢的一種裝置。遊絲靠近外端部分從快慢針的內夾和外夾之間穿過。遊絲自內端起至快慢針的內夾和外夾之間的長度稱為遊絲的計算長度。在振動過程中,遊絲大部分時間將以計算長度參加工作。當撥動快慢針時,內夾和外夾沿著遊絲長度方向移動,使遊絲的計算長度發生變化,由此即可調節鐘錶的走時快慢。為避免撥動快慢針時內夾和外夾卡住遊絲,將遊絲外端約120°的一段彎製成與擺軸同心的圓弧形。此外,遊絲與內夾和外夾之間還保留有一定的間隙。由於間隙的存在,遊絲在工作(擴展與收縮)中時而接觸內夾或外夾,時而離開它們而處於間隙之間。當遊絲處於前一狀態時,其參加工作的有效長度(參與振動的長度)為計算長度;當遊絲處於後一狀態時,其參加工作的有效長度為遊絲的全部長度。由於遊絲在工作中的有效長度隨著擴展與收縮不斷地變換,因而其恢復力矩與擺輪角位移之間不能保持線性的關係。這樣就引起了等時性誤差。
④固定端彈性效應:在鐘錶機構中,遊絲的外端點是固定不動的。當遊絲工作時,由於它的擴展與收縮,在外端點固定處會產生一個反作用力,其大小和方向是不斷改變的。這就使得遊絲在其長度上的各個元段產生不均勻的變形,從而使遊絲的恢復力矩不能與擺輪的角位移保持線性關係,引起了等時性誤差。當擺輪軸心連線遊絲外、內端的兩根徑向線彼此垂直時,對等時性無影響;當兩根徑向線處在同一直線上時,對等時性影響最大。
⑤遊絲安裝誤差:遊絲在安裝過程中容易產生兩種誤差,一種是偏心,即遊絲的幾何中心與擺軸軸心不重合;另一種是在外樁方向的徑向安裝誤差,即固定遊絲外端的外樁至擺軸軸心的距離不等於外樁孔至擺軸孔中心的距離。當存在以上任何一種誤差時,遊絲在工作中都會在其長度上的各個元段產生不均勻的變形,破壞遊絲恢復力矩與擺輪角位移之間的線性關係,從而引起等時性誤差。
⑥遊絲轉動慣量:在擺輪遊絲調速組件中,遊絲本身的轉動慣量比擺輪的小很多,但也是整個振動系統轉動慣量的組成部分。遊絲工作時,由於存在擴展與收縮現象,其轉動慣量將隨著擺輪的角位移而變化。由於振動周期與轉動慣量的平方根成正比,故當振幅變化引起遊絲轉動慣量變化時,振動周期也發生變化,引起等時性誤差。遊絲轉動慣量對等時性誤差的影響不屬於通常的非線性力矩干擾,而是因振幅變化直接產生的。
⑦遊絲材料:遊絲的恢復力矩與其彈性模數成正比,而遊絲材料的彈性模數是與所受到的應力有關的。隨著擺輪振幅的變化,遊絲由於擴展與收縮變形所產生的應力也發生了變化,這就導致恢復力矩的變化,使恢復力矩與擺輪角位移之間不能保持線性關係,從而引起等時性誤差。
彈性模數與應力之間的關係複雜,難以用公式準確地表達。從定性上說,當應力逐漸增加時,彈性模數先是減小,到一定程度後又回升,然後漸趨平緩。通常,由於應力引起的彈性模數的相對變化值約在10-4數量級。
⑧擒縱機構:在鐘錶機構中,為了維持擺輪遊絲調速組件的振動不衰減,並記下振動次數以表達時間,採用了擒縱機構(見機械鐘錶機構)。在每一個振動周期中,擒縱機構定期地向擺輪遊絲調速系統傳遞一次或兩次衝量,藉以補充振動過程中所消耗的能量。在傳遞衝量過程中還伴隨著碰撞。擺輪遊絲調速系統在每次獲得能量補充之前,先行釋放擒縱機構,使之開始工作。在進行釋放時,擒縱機構消耗了擺輪遊絲調速系統一部分能量,也即對調速系統作用以負的衝量。擒縱機構所作用的所有衝量(正的和負的),實質上都是一些非線性干擾力矩。根據艾里定理,這些衝量必然會對振動周期產生影響,且其影響隨著振幅變化而異。如果擒縱機構在一個周期中傳遞兩次衝量(大多數鐘錶都是如此),則由此而引起的等時性誤差是振幅減小時鐘表趨於走慢。如果擒縱機構在一個周期中傳遞一次衝量,則其等時性誤差的變化趨勢,視衝量在振動系統平衡位置前後分布的情況而定。航海天文鐘就是利用這個特點,調整衝量的分布以獲得最小的等時性誤差。
⑨圓弧誤差:擺鐘獨有的一種等時性誤差,當鐘擺振動時,如果它的重心運動軌跡是一條擺線的話,那么周期就與振幅無關,即不具有等時性誤差;如果重心運動軌跡是一段圓弧,那么由重力所產生的恢復力矩則隨擺的角位移按正弦規律變化。由擺的這種非線性恢復力矩所引起的等時性誤差就稱為圓弧誤差。當振幅減小時,由圓弧誤差引起的等時性誤差是使擺的周期減短,即擺鐘有走快的趨勢。在實際中,即使採用特殊的擺鐘懸掛裝置,也很難保證擺的重心運動軌跡是一條擺線,因此所有擺鐘都程度不同地存在圓弧誤差。
位置誤差 由於重力的影響,鐘錶在改變位置姿態時引起的走時誤差。鍾在正常使用時的放置姿態是固定的,所以走時不受位置誤差的影響。表則不然,它在使用時位置經常改變,因此位置誤差會對走時產生影響。位置誤差通常只用於衡量表的走時精度。位置誤差的大小以不同位置之間日差值的變化來衡量。測量時的不同位置,是根據有關標準按表的類別(如手錶、懷表等)和精度等級來選取的。就表機構本身而言,產生位置誤差的因素有以下3個。
①擺輪組件的不平衡:擺輪組件不平衡,其重心就會對擺輪軸心線產生一個力矩。對於擺輪遊絲振動系統而言,該力矩是一個非線性的干擾力矩。當表位置變化時,重心所產生的非線性干擾力矩也發生變化。不同位置之間受干擾的程度不同,產生的走時誤差各異,因而造成了位置誤差。根據計時學的理論,當擺輪的振幅保持在219°32′27″時,擺輪組件的不平衡不會引起位置誤差。
②遊絲重心:它產生位置誤差的原因與擺輪組件不平衡很相似。當表位置改變時,遊絲重心的位置也改變,其對擺輪軸所產生的非線性干擾力矩隨之發生變化,因而對走時的影響程度也發生變化,從而造成位置誤差。根據計時學的理論,當擺輪的振幅保持在163°26′25″或330°32′30″時,遊絲的重心對位置誤差將無影響。在其他振幅下,如果擺軸處於水平位置,當遊絲的內半圈(最里半圈)在擺軸水平線的上方時,遊絲重心的影響是使表走快;反之,遊絲的內半圈在擺軸水平線的下方時,表走慢;又當遊絲的內半圈在擺軸鉛垂線的左方或右方時,對走時無影響。這種遊絲位置對走時發生影響的現象,稱為格羅斯曼效應。在表的設計中,常利用這種效應來安排遊絲的位置,以減小常用位置(如手錶的上條柄朝下、朝左等)的走時誤差。
③振幅的變化:表處於不同位置時,其擺軸所受到的軸承摩擦力矩有所不同。擺軸處於鉛垂位置時與水平位置時的摩擦力矩差別最大。當擺軸處於鉛垂位置時,擺輪的振幅要比水平位置時的高。因為任何一個擺輪遊絲振動系統都不免有等時性誤差存在,所以振幅變化的結果,必然引起走時誤差。
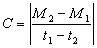
溫度誤差 溫度變化所引起的走時誤差。當溫度變化時,石英振子、擺輪、遊絲或擺的幾何尺寸,以及石英振子和遊絲材料的彈性模數都要發生變化,從而影響走時快慢。對於機械式鐘錶,溫度的變化還會改變鐘錶機構內的潤滑油粘度和潤滑情況,引起振幅的變化,並通過振動系統的等時性誤差間接地對走時產生影響。對於石英電子鐘錶,溫度變化對電路器件(如調走時快慢的微調電容)的參數以及電池的電壓都有所影響,因而也能引起走時誤差。為了定量地綜合評估鐘錶受溫度影響的敏感程度,一般將溫度每變化1℃所引起的日差變化(稱鐘錶的溫度係數)作為衡量指標。設測試的溫度分別為t1和t2,其相應的日差值為M1和M2,那么溫度係數C即可據下列公式求出:

參考書目
天津大學精儀系計時教研室編:《機械計時儀器》,天津科學技術出版社,天津,1980。

