金茲堡-朗道方程[金茲堡-朗道方程]

金茲堡-朗道方程[金茲堡-朗道方程]
更多義項 ▼ 收起列表 ▲

金茲堡-朗道方程,或金茲堡-朗道理論,是由維塔利·金茲堡和列夫·朗道在1950年提出的一個描述超導現象的理論。早期的金茲堡-朗道方程只是一個唯象的數學模型,從巨觀的角度描述了第一類超導體。1957年,蘇聯物理學家阿列克謝·阿布里科索夫基於金茲堡-朗道理論提出了第二類超導體的概念。1959年,列夫·戈爾科夫結合BCS理論,從微觀角度嚴格證明了金茲堡-朗道理論是BCS理論的一種極限情況。為了表彰金茲堡和阿布里科索夫對超導理論的貢獻,他們與研究超流理論的安東尼·萊格特共同獲得了2003年的諾貝爾物理學獎。

簡介

金茲堡-朗道方程,或 金茲堡-朗道理論,是由維塔利·金茲堡和列夫·朗道在1950年提出的一個描述超導現象的理論。早期的金茲堡-朗道方程只是一個唯象的數學模型,從巨觀的角度描述了第一類超導體。1957年,蘇聯物理學家阿列克謝·阿布里科索夫基於金茲堡-朗道理論提出了第二類超導體的概念。1959年,列夫·戈爾科夫結合BCS理論,從微觀角度嚴格證明了金茲堡-朗道理論是BCS理論的一種極限情況。為了表彰金茲堡和阿布里科索夫對超導理論的貢獻,他們與研究超流理論的安東尼·萊格特共同獲得了2003年的諾貝爾物理學獎。

理論

金茲堡-朗道方程[金茲堡-朗道方程] 金茲堡-朗道方程[金茲堡-朗道方程]

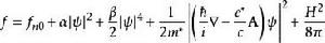
金茲堡-朗道方程是由金茲堡和朗道在朗道的二級相變理論的基礎上提出的。他們斷言超導態可以通過一個復序參量(complex order parameter)ψ( r) 來表征。這個形似波函式的序參量測量的是超導體在低於超導轉變溫度T時的超導有序度("degree of superconducting order"),在BCS理論的框架中可以視為描述庫柏對質量中心位置的單粒子波函式。在臨界相變點附近,超導體的自由能密度可被展開為如下形式:

金茲堡-朗道方程[金茲堡-朗道方程] 金茲堡-朗道方程[金茲堡-朗道方程]
金茲堡-朗道方程[金茲堡-朗道方程] 金茲堡-朗道方程[金茲堡-朗道方程]
金茲堡-朗道方程[金茲堡-朗道方程] 金茲堡-朗道方程[金茲堡-朗道方程]
金茲堡-朗道方程[金茲堡-朗道方程] 金茲堡-朗道方程[金茲堡-朗道方程]
金茲堡-朗道方程[金茲堡-朗道方程] 金茲堡-朗道方程[金茲堡-朗道方程]
金茲堡-朗道方程[金茲堡-朗道方程] 金茲堡-朗道方程[金茲堡-朗道方程]
金茲堡-朗道方程[金茲堡-朗道方程] 金茲堡-朗道方程[金茲堡-朗道方程]

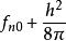
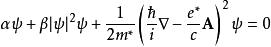
若 ,則上式化為常態下的自由能。表示有效質量,表示有效電荷, A是磁矢勢,H為磁場強度。在後續的實驗中,人們發現(為基本電荷)。

當自由能取極小值時可得 金茲堡-朗道方程

金茲堡-朗道方程[金茲堡-朗道方程] 金茲堡-朗道方程[金茲堡-朗道方程]

相關條目

•朗道理論

•磁疇

•疇壁

•磁通釘扎

•磁通量量子

•量子渦旋

•Gross-Pitaevskii方程

•反應-擴散系統

•塞伯格-維騰理論

•拓撲缺陷

相關詞條

相關搜尋

熱門詞條

聯絡我們