解釋
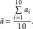
量子漲落首先什麼是漲落,比如我們測一根火柴棍的長度,測量了十次,每次都可能不一樣,記作,我們可以對它們求個平均:
量子漲落
量子漲落
量子漲落
量子漲落每一次對火柴棍的測量和平均值有個偏差,即
量子漲落
量子漲落
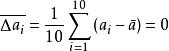
量子漲落可正可負,10個描述了每次測量對測量平均值的偏離。有時我們希望用一個指標來描述對測量平均值的偏離,最直接的想法是用平均,即
量子漲落
量子漲落
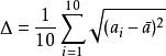
量子漲落但由於每次偏離是隨機的,如此定義的偏離的平均是0。合理的定義是對偏離的大小做平均,所謂偏離的大小是偏離的絕對值。這可以看做是先平方再開方:
量子漲落
量子漲落
量子漲落
量子漲落為什麼不直接使用,是因為這樣做量綱就不對了,的量綱是面積,開方後才是長度。考慮到我們測量了十次,偏離的大小定義為:
量子漲落
量子漲落
量子漲落在以上例子中,每次測量的偏離就是漲落,而就是對漲落大小的一個估計。
—————————————————————類比的分隔線——————————————————
正式開始解釋什麼是量子漲落。首先量子力學研究的是波函式:
量子漲落
量子漲落
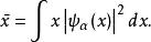
量子漲落假如我們測量粒子的位置,粒子的位置在哪裡我們也不知道,我們只知道粒子出現在位置x的幾率密度是。平均位置就是:
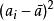
量子漲落在量子力學中,粒子出現在任意位置都是有可能的,此時對平均位置的偏離是:
量子漲落
量子漲落可正可負,對上式求量子力學平均為0,
量子漲落有意義的是偏離的大小,即絕對值:
量子漲落
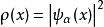
量子漲落可以先對求平方,再求量子力學平均,然後再開方 :
量子漲落
量子漲落
量子漲落位置對量子力學平均值的偏離也叫漲落,漲落的大小由表征,由於這種偏離是由量子力學的本質特徵——波函式決定,所以我們管這種漲落叫量子漲落。
意義
量子漲落看似違反了能量守恆定律,但這種漲落髮生在空間中的任何地方,而且能量存在的時間非常短,時刻一到,它就要消失,所以在大尺度上,能量守恆定律並沒有被破壞。不過,上世紀60年代末,有人想到一種可能性:物質或能量的萬有引力本身具有負的能量(因為引力是吸力,假設無限遠的勢能是0,那么當物體靠近後因為引力做功使得其勢能為負值)。當漲落產生的能量產生的瞬間,它又產生了一個引力場,引力的負能量與物質(或能量本身)對應的正能量互相抵消,使整個系統看起來並沒有多出能量,所以量子漲落沒有違反能量守恆定律。
相關算法
量子退火(英語: Quantum annealing)是一種量子漲落特性的次經驗算法,可以在目標方程擁有多組候選解答的情況下,找到全局最優解。量子退火主要用於解決離散空間有多個局部最小值的問題(組合最佳化問題),像是尋找自旋玻璃的基態。
量子退火首先從具有相等權重的所有可能狀態(候選狀態)的疊加態開始,接著,系統隨著含時薛丁格方程演化。根據橫向場的時間依賴強度,導致了狀態之間的量子隧穿,造成所有候選狀態的機率幅不斷改變,實現量子並行性。如果橫場的變化速度足夠慢,則系統保持接近瞬時哈密頓量的基態,即絕熱量子計算。如果橫場的變化速度加快,則系統可能暫時離開基態,但是在最終問題哈密頓量的基態下產生更高的可能性,即diabatic量子計算。橫向場最終被關閉,且系統預計將達到與原來最最佳化問題的解相對應的經典易辛模型的基態。在最初的理論被提出之後,隨即有了隨機磁體量子退火成功的實驗證明。

