定義
在語言編碼通信中,解調後信號和原傳遞信號的差異是因幅度和時間的量化而產生的,這種失真稱為量化失 真。因為這種失真和雜亂的干擾一樣,聽起來和元件產生的熱噪聲相似,所以叫做量化噪聲。
產生原因
(1)第一個原因是由於編碼、解碼時用階梯波形去近似表示模擬信號波形,由於階梯本身的電壓突跳產生失真。如下圖(a),這是增量調製的基本量化噪聲,又稱一般量化噪聲。它伴隨著信號永遠存在,即只要有信號,就有這種噪聲。
(2)第二個原因是信號變化過快引起失真,這種失真稱為過載量化噪聲,見下圖(b),它發生在輸入信號斜率的絕對值過大時,由於當抽樣頻率和量化台階一定時,階梯波的最大可能斜率是一定的。若信號上升的斜率超過階梯波的最大可能斜率,則階梯波的上升速度趕不上信號的上升速度,就發生了過載量化噪聲。
量化噪聲
量化噪聲
量化噪聲
量化噪聲
量化噪聲
量化噪聲
量化噪聲
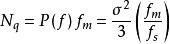
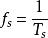
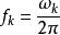
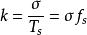
量化噪聲設抽樣周期為 ,抽樣頻率為 ,量化台階為 ,則一個階梯台階的斜率 為 ,
量化噪聲
量化噪聲
量化噪聲
量化噪聲
量化噪聲
量化噪聲
量化噪聲它也就是階梯波的最大可能斜率,或稱為解碼器的最大跟蹤斜率。當增量調製器的輸入信號斜率超過這個最大值時,將發生過載量化噪聲。所以,為了避免發生過載量化噪聲,必須使 和 的乘積足夠大,使信號的斜率不會超過這個值。另一方面, 值直接和基本量化噪聲的大小有關,若取 值太大,勢必增大基本量化噪聲。所以,用增大 的辦法增大乘積 ,才能保證基本量化噪聲和過載量化噪聲兩者都不超過要求。
實際套用
量化噪聲實際中增量調製採用的抽樣頻率 值比PCM和DPCM的抽樣頻率值都大很多;對於話音信號而言,增量調製採用的抽樣頻率在幾十千赫到百餘千赫。
量化噪聲計算
量化噪聲
量化噪聲
量化噪聲
量化噪聲
量化噪聲
量化噪聲
量化噪聲
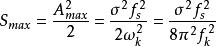
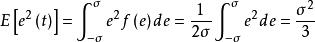
量化噪聲這是僅考慮基本量化噪聲,並假定在設計時已經考慮到使系統不會產生過載量化噪聲,這樣模擬信號 與預測信號 之差就是低通濾波前的量化噪聲 。有上圖(a)可知, 隨時間在區間 內變化。假設它在此區間內均勻分布,則 的機率分布密度為
量化噪聲故 的平均功率可以表示成:
量化噪聲
量化噪聲
量化噪聲
量化噪聲
量化噪聲假設這個功率的頻譜均勻分布在從0到抽樣頻率 之間,即其功率譜密度可以近似的表示為。
量化噪聲因此,此量化噪聲通過截止頻率為的低通濾波器之後,其功率
量化噪聲
量化噪聲
量化噪聲因此,此基本量化噪聲功率只和量化台階與有關,和輸入信號大小無關。
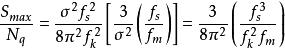
信號量噪比
量化噪聲
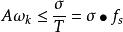
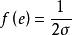
量化噪聲設輸入信號為,式中:A為振幅,為角頻率。
則斜率由下式決定:
量化噪聲
量化噪聲此斜率的最大值等於。
量化噪聲為了保證不過載,要求信號的最大斜率不超過解碼器的最大跟蹤斜率。現在信號的最大斜率為,所以要求
量化噪聲所以保證不過載的臨界振幅
量化噪聲
量化噪聲
量化噪聲
量化噪聲
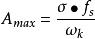
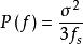
量化噪聲即臨界振幅與量化台階和抽樣頻率成正比,與信號角頻率成反比。這個條件限制了信號的最大功率,由上式導出最大信號功率為
量化噪聲
量化噪聲式中:
因此,可以求出最大信號量噪比:
量化噪聲所以在增量調製系統中,提高抽樣頻率將能顯著增大信號量噪比。
